The photos you provided may be used to improve Bing image processing services.
Privacy Policy
|
Terms of Use
Can't use this link. Check that your link starts with 'http://' or 'https://' to try again.
Unable to process this search. Please try a different image or keywords.
Try Visual Search
Search, identify objects and text, translate, or solve problems using an image
Drag one or more images here,
upload an image
or
open camera
Drop images here to start your search
To use Visual Search, enable the camera in this browser
All
Images
Inspiration
Create
Collections
Videos
Maps
News
Shopping
More
Flights
Travel
Notebook
Autoplay all GIFs
Change autoplay and other image settings here
Autoplay all GIFs
Flip the switch to turn them on
Autoplay GIFs
Image size
All
Small
Medium
Large
Extra large
At least... *
Customized Width
x
Customized Height
px
Please enter a number for Width and Height
Color
All
Color only
Black & white
Type
All
Photograph
Clipart
Line drawing
Animated GIF
Transparent
Layout
All
Square
Wide
Tall
People
All
Just faces
Head & shoulders
Date
All
Past 24 hours
Past week
Past month
Past year
License
All
All Creative Commons
Public domain
Free to share and use
Free to share and use commercially
Free to modify, share, and use
Free to modify, share, and use commercially
Learn more
Clear filters
SafeSearch:
Moderate
Strict
Moderate (default)
Off
Filter
768×1024
scribd.com
DFT Synthesis Using Matlab …
768×1024
scribd.com
Cyclic Property - DFT Twiddle F…
768×1024
Scribd
DFT in MATLAB Using Fft | Dis…
768×1024
scribd.com
Relationship Between DFT …
231×189
technobyte.org
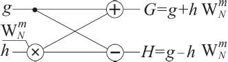
Twiddle factors in DSP for calculatin…
300×171
technobyte.org
Twiddle factors in DSP for calculating DFT, FFT an…
983×750
chegg.com
Solved Project 2 write matlab code for 1.Write your own | …
1275×1650
studypool.com
SOLUTION: Properties of dft u…
1190×966
chegg.com
Solved Q1. DFT matrix properties a. Consider the twiddle | Chegg.…
841×581
chegg.com
Solved Calculate DTFT and DFT of the following signals in | Chegg.com
1280×720
storage.googleapis.com
Matlab Dft Algorithm at Brad Schaffer blog
522×735
storage.googleapis.com
Matlab Dft Algorithm at Bra…
600×375
alwayslearn.com
FFT - The Twiddle Factor
761×600
ee-diary.com
DFT Example with Matlab | ee-diary
1334×750
Stack Exchange
fft - Magic of twiddle factor in DFT - Signal Processing Stack Exchange
640×201
chegg.com
Solved Using twiddle factor matrix, obtain the 4-point DFT | Chegg.com
640×335
Stack Exchange
fft - Magic of twiddle factor in DFT - Signal Processing Stack Exchange
878×227
chegg.com
Solved a- Using the 8-point matrix of twiddle factors, | Chegg.com
537×175
numerade.com
[GET ANSWER] show thal the twiddle factor in dft matrix for n4is 2 find ...
331×91
researchgate.net
Twiddle factor position for a length-2 DFT | Download Scien…
1699×974
transtutors.com
(Solved) - Using the 8-point matrix of twiddle factors, calculate the ...
2046×735
Chegg
Solved Edit the MATLAB code to compute the DFT via | Chegg.com
640×640
ResearchGate
Twiddle Factors Complex Plane for 8-Point DFT | Download Scientific Diagram
640×640
ResearchGate
Twiddle Factors Complex Plane for 8-Point DFT | Do…
2046×1346
Chegg
Solved Discrete Fourier Transform (DFT) Use matlab to | Chegg.com
778×615
chegg.com
Solved The DFT matrix given in Figure Q2(a) uses twiddle | Chegg.com
400×233
ee-diary.com
DFT in Matlab without built-in function | ee-diary
700×412
chegg.com
Solved (ii) The DFT matrix given in Figure Q2(a) uses | Chegg.com
719×770
chegg.com
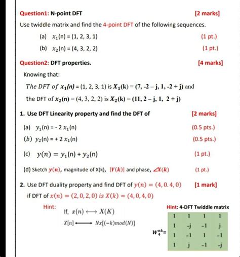
Solved Question1: N-point DFT [2 marks] …
1024×576
numerade.com
SOLVED: 41 Computing the DFT We will now develop our own DFT functions ...
559×219
chegg.com
Solved 1. Show that the twiddle factor in DFT matrix for N=4 | Chegg.com
1106×188
chegg.com
Solved Generate the twiddle factor matrix (WN) for 3 point | Chegg.com
366×347
researchgate.net
Symmetry and periodicity of DFT coefficient vecto…
857×738
chegg.com
Solved Question 4 (5 points) Calculate DTFT and DFT …
320×180
slideshare.net
Computing DFT using Matrix method | PDF
Some results have been hidden because they may be inaccessible to you.
Show inaccessible results
Report an inappropriate content
Please select one of the options below.
Not Relevant
Offensive
Adult
Child Sexual Abuse
Feedback