The photos you provided may be used to improve Bing image processing services.
Privacy Policy
|
Terms of Use
Can't use this link. Check that your link starts with 'http://' or 'https://' to try again.
Unable to process this search. Please try a different image or keywords.
Try Visual Search
Search, identify objects and text, translate, or solve problems using an image
Drag one or more images here,
upload an image
or
open camera
Drop images here to start your search
To use Visual Search, enable the camera in this browser
All
Search
Images
Inspiration
Create
Collections
Videos
Maps
News
More
Shopping
Flights
Travel
Notebook
Top suggestions for Free Article Assignment
Summary
Assignment
Assignment
Sample
News Paper
Article Assignment
Research Paper
Assignment
Journal
Article Assignment
Journal Article
Review Assignment
Written Assignment
Rubric
Magazine
Assignment
New
Assignment
How to Write
Article Assignment
Essay
Assignment
Article Assignment
Uni
Rubric Writing
Assignment
Current Events
Assignment
Blog/Article Assignment
Idea
Newspaper
Worksheet
Article
Class Assignment
Popular Press
Article Assignment
News Story
Assignment
Academic
Assignment
Math
Assignment
Homework
Assignment
Article
Review Samples
Complete
Assignment
Sample Assignment
of Niche for Article Writing
Newspaper Article Assignment
for Students
Article
Review Template
Newspaper Article Assignment
Middle School
School Newspaper
Ideas
Romeo Juliet Newspaper
Article Assignment
Individual
Assignment
English Article
Writing Assignment
Reading
Assignments
Article Assignment
Examoples
Sample of Article
Review Assignment PDF
Current Event
Article Worksheet
Unit 17
Article Assignment
Literature
Assignment
Science Current Event
Assignment
School Newspaper
Article Examples
Article
Critique Sample
Scientific Article
Summary
High School Magazine
Article Assignment
Research Article
Topic Sample Assignment
Assignment
Title Draft of Magazine Article
Nursing Article
Review Example
Example of
Assignment Abstract
APA Journal Article
Review Example
Article
Examples Grammar
Online Article
in University Assignment
Explore more searches like Free Article Assignment
College
Writing
Clip
Art
Cover Page
Template
Poster-Making
Front Page
Design
Background
Design
Cover Page
Format
Help
Services
Missing
One
Word Clip
Art
Work
Logo
First Page
Design
Due
Tomorrow
Paper
Design
Chalkboard
Cover Page
for School
Those Who
Know
Background
For
Microsoft
Excel
Cover Page
For
Cover Page
Sample
Cover Page.
Examples
HandWritten
Due
Date
Border
Decoration
Create
Logo
How
Write
Goal
Setting
Business
Letter
Design
Ideas
Test
Icon
Plan
Template
Business
Management
Work
Pics
Cover
Sheet
Contract
Example
Design
For
Writing
Services
Copyright
Form
Sample
PDF
House
For
Writing
Help
Cover
Page
Portfolio
Design
Student
Writing
Artist
Writing
Time
Order
List
People interested in Free Article Assignment also searched for
List Clip
Art
Format
Example
Lettering
Design
Formal
Writing
Music
Record
Subject
Clip Art
Sheet
Template
PPT First
Page
Border
Design
Acknowledgement
Sample
Disclaimer
Notice
Group
Instructions
Sample
Essay-Writing
Template for
Students
Kids
Autoplay all GIFs
Change autoplay and other image settings here
Autoplay all GIFs
Flip the switch to turn them on
Autoplay GIFs
Image size
All
Small
Medium
Large
Extra large
At least... *
Customized Width
x
Customized Height
px
Please enter a number for Width and Height
Color
All
Color only
Black & white
Type
All
Photograph
Clipart
Line drawing
Animated GIF
Transparent
Layout
All
Square
Wide
Tall
People
All
Just faces
Head & shoulders
Date
All
Past 24 hours
Past week
Past month
Past year
License
All
All Creative Commons
Public domain
Free to share and use
Free to share and use commercially
Free to modify, share, and use
Free to modify, share, and use commercially
Learn more
Clear filters
SafeSearch:
Moderate
Strict
Moderate (default)
Off
Filter
Summary
Assignment
Assignment
Sample
News Paper
Article Assignment
Research Paper
Assignment
Journal
Article Assignment
Journal Article
Review Assignment
Written Assignment
Rubric
Magazine
Assignment
New
Assignment
How to Write
Article Assignment
Essay
Assignment
Article Assignment
Uni
Rubric Writing
Assignment
Current Events
Assignment
Blog/Article Assignment
Idea
Newspaper
Worksheet
Article
Class Assignment
Popular Press
Article Assignment
News Story
Assignment
Academic
Assignment
Math
Assignment
Homework
Assignment
Article
Review Samples
Complete
Assignment
Sample Assignment
of Niche for Article Writing
Newspaper Article Assignment
for Students
Article
Review Template
Newspaper Article Assignment
Middle School
School Newspaper
Ideas
Romeo Juliet Newspaper
Article Assignment
Individual
Assignment
English Article
Writing Assignment
Reading
Assignments
Article Assignment
Examoples
Sample of Article
Review Assignment PDF
Current Event
Article Worksheet
Unit 17
Article Assignment
Literature
Assignment
Science Current Event
Assignment
School Newspaper
Article Examples
Article
Critique Sample
Scientific Article
Summary
High School Magazine
Article Assignment
Research Article
Topic Sample Assignment
Assignment
Title Draft of Magazine Article
Nursing Article
Review Example
Example of
Assignment Abstract
APA Journal Article
Review Example
Article
Examples Grammar
Online Article
in University Assignment
768×1024
scribd.com
Article assignment | PDF
1906×1000
assignmentstudio.net
How to write an Article Review Assignment Help by Assign…
270×350
www.teacherspayteachers.com
Newspaper Article Assignment by Jacey Bura | Teachers P…
768×994
studylib.net
BIO10 Lab: Article Summary Assignment
180×234
coursehero.com
News Article Assignment .docx - NEWS ARTICLE AS…
768×994
studylib.net
Article Review Assignment Instructions
270×350
www.teacherspayteachers.com
Newspaper Article Writing Assignment by Captivating …
350×255
www.teacherspayteachers.com
Newspaper Article Assignment Fall Halloween | TPT
240×320
pdf4pro.com
NEWSPAPER ARTICLE ASSIGNMENT - OwlTeache…
768×1024
scribd.com
Newspaper Article Assignment | PDF
1280×1656
docsity.com
Article Assignment 3 | Assignments Law | Docsity
Related Searches
College
Writing
Assignment
Assignment'
Clip
Art
Assignment
Cover
Page
Template
Poster
-
Making
Assignment
180×234
coursehero.com
article assignment.docx - Article Assignment 25% of t…
Related Searches
Assignment
List
Clip
Art
Assignment
Format
Example
Lettering
Design
Assignment
Formal
Writing
Assignment
180×234
coursehero.com
Research Article Assignment.docx - Researc…
1200×1696
template.net
Free AI Assignment Generator, Free Assignmen…
768×1024
scribd.com
Article Assignment Series-2 | PDF
768×1024
scribd.com
Newspaper Article Assignment | PDF | Business
180×234
coursehero.com
Magazine Article Assignment.pdf - Magazine …
350×197
www.teacherspayteachers.com
News Article Assignment by Jubilee Street Education Re…
180×234
coursehero.com
Research Article Assignment 1.pdf - 7th Edition Research …
1200×1700
template.net
Free Article Summary Assignment for Students Te…
180×234
coursehero.com
03. Newspaper Article Assignment 2 .docx - Newsp…
1200×1700
template.net
Free AI Assignment Generator, Free Assignmen…
768×1024
scribd.com
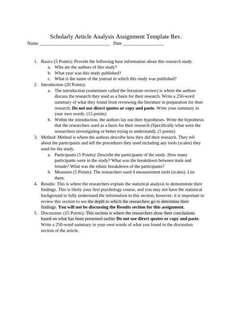
Scholarly Article Analysis Assignment Template Rev. (…
768×994
studylib.net
Article Assignment Guidelines
791×1024
studylib.net
Weekly Article Review Assignment
271×350
www.teacherspayteachers.com
Newspaper Article assignment by Nathan Parker | TPT
768×1024
scribd.com
Scholarly Article Analysis Assignment Template Rev. …
180×233
coursehero.com
Web Article Assignment Sheet 1 .docx - ONLINE ARTICLE …
826×1169
eslprintables.com
News Article Assignment - ESL worksheet by ainfranco
768×1024
scribd.com
newspaper assignment | PDF | Grenada | Leadership
768×994
studylib.net
Article Analysis Assignment: Genre & Content
768×1024
scribd.com
Individual Assignment (Article Review) | PDF
768×1024
scribd.com
Example Assignment - Article 2 | PDF | Ethnography | Bull…
270×350
www.teacherspayteachers.com
Newspaper Article Assignment by Jen's ELA | TPT
768×1024
scribd.com
BIOL235 Journal Article Assignment Template | PDF
Related Searches
Assignment
Front
Page
Design
Assignment
Background
Design
Assignment
Cover
Page
Format
Assignment
Help
Services
Some results have been hidden because they may be inaccessible to you.
Show inaccessible results
Report an inappropriate content
Please select one of the options below.
Not Relevant
Offensive
Adult
Child Sexual Abuse
Feedback