The photos you provided may be used to improve Bing image processing services.
Privacy Policy
|
Terms of Use
Can't use this link. Check that your link starts with 'http://' or 'https://' to try again.
Unable to process this search. Please try a different image or keywords.
Try Visual Search
Search, identify objects and text, translate, or solve problems using an image
Drag one or more images here,
upload an image
or
open camera
Drop images here to start your search
To use Visual Search, enable the camera in this browser
All
Search
Images
Inspiration
Create
Collections
Videos
Maps
News
More
Shopping
Flights
Travel
Notebook
Top suggestions for Sequential Multiplication Algorithm
Sequential Algorithm
Standard
Algorithm Multiplication
Matrix
Multiplication Algorithm
Formal Algorithm
for Multiplication
Multiplication Algorithm
Examples
Multiplication Algorithm
in COA
Lattice Algorithm
for Multiplication
Flowchart of
Sequential Multiplication
Matrix Chain
Multiplication Algorithm
Standard Algorithm Multiplication
5th Grade
Multiplication Algorithm
Flow Chart
Vertical
Algorithm Multiplication
U.S. Standard
Algorithm Multiplication
Multiplicative Weights
Algorithm
Multiplication
Using Algorithm
Standard Algorithm Multiplication
4th Grade
Math Multiplication
Algorythms
Intermediate Algorithm
for Multiplication
Block Diagram of
Multiplication Algorithm
Algorithm
Complexity
Standard Algorithm Multiplication
Steps
Multiplication
Signed Operation Algorithm
Fast
Multiplication Algorithm
How to Do the
Multiplication Algorithm
1-Digit
Multiplication Algorithm
Multiplication Algorithm
with Numbers
Sequential
Multiplier
Explain
Multiplication Algorithm
Incorrect
Multiplication Algorithm
Differential Cross
Multiplication Algorithm
Research Matrix
Algorithm
Discuss the Multiplication Algorithm
in Detail with Diagram
Booth
Multiplication
Algorithm of Multiplication
of Two Number
2 by 2 Matrix
Multiplication
Matrix Multiplication
Complexity Timeline
Multipulcation
Algorithms
Algorithm
Method of Multiplication
Multiplication Algorithm
Pages Print Out Free
Shift and Add
Multiplication Algorithm
Algorithm
to Make Mutiplication Table
Matrix Multiplication
as Data Flow
Example of Solving
Multiplication Algorithm
49X3 Standard
Multiplication Algorithm
Signed Magnitude
Multiplication Algorithm
Multiplication Algorithm
On 23 X 19
Multiplication Algorithm
Examples 2 by 3
Bools Algorithm
Multilpication Flow Chart
Algorithm for Multiplication
of 2 Noss
Partial Products
Algorithm
Explore more searches like Sequential Multiplication Algorithm
Movement
Drawing
Learning
Logo
Gear
Lever
LED Tail
Lights
Movement
Photography
Shift
Pattern
Art
Inspiration
Artist
Logo
Organization
Structure
Algorithm
Examples
Company
Logo
Circuit
Types
Structure
Logo
Race
Car
Manual
Gearbox
Circuit Design
Examples
Six
Trak
Chart
Examples
LED
Circuit
Circuit
Design
Compression
Machine
Architecture
Diagram
Pro 3
Case
Prophet
5
Circuit Block
Diagram
Circuit
Diagram
Sim
Shifter
Control Circuit
Diagram
Synth
Vst
Deep Learning
Model
Circuit Reference
Book
6-Speed
Transmission
Turn Signal
Lights
Timer
Circuit
Circuits Pro
One
Shift
Prophet
6
Gear
Shifter
Logo
Prophet
Logic Flow
Diagrams
Systems
Circuit
Example
Sequential
Photography
Consistency
Model
Illustration
Circuits
Synths
People interested in Sequential Multiplication Algorithm also searched for
Tech
Logo
Turbo
Diagram
Function Chart
Template
Circuits
Pro 1
Design
Example
Steps
Examples
Switching
Circuits
FlowChart
Programming
ARRT
Logic
Cartoon
Art
Function Chart
Help
Shifter
Design
Autoplay all GIFs
Change autoplay and other image settings here
Autoplay all GIFs
Flip the switch to turn them on
Autoplay GIFs
Image size
All
Small
Medium
Large
Extra large
At least... *
Customized Width
x
Customized Height
px
Please enter a number for Width and Height
Color
All
Color only
Black & white
Type
All
Photograph
Clipart
Line drawing
Animated GIF
Transparent
Layout
All
Square
Wide
Tall
People
All
Just faces
Head & shoulders
Date
All
Past 24 hours
Past week
Past month
Past year
License
All
All Creative Commons
Public domain
Free to share and use
Free to share and use commercially
Free to modify, share, and use
Free to modify, share, and use commercially
Learn more
Clear filters
SafeSearch:
Moderate
Strict
Moderate (default)
Off
Filter
Sequential Algorithm
Standard
Algorithm Multiplication
Matrix
Multiplication Algorithm
Formal Algorithm
for Multiplication
Multiplication Algorithm
Examples
Multiplication Algorithm
in COA
Lattice Algorithm
for Multiplication
Flowchart of
Sequential Multiplication
Matrix Chain
Multiplication Algorithm
Standard Algorithm Multiplication
5th Grade
Multiplication Algorithm
Flow Chart
Vertical
Algorithm Multiplication
U.S. Standard
Algorithm Multiplication
Multiplicative Weights
Algorithm
Multiplication
Using Algorithm
Standard Algorithm Multiplication
4th Grade
Math Multiplication
Algorythms
Intermediate Algorithm
for Multiplication
Block Diagram of
Multiplication Algorithm
Algorithm
Complexity
Standard Algorithm Multiplication
Steps
Multiplication
Signed Operation Algorithm
Fast
Multiplication Algorithm
How to Do the
Multiplication Algorithm
1-Digit
Multiplication Algorithm
Multiplication Algorithm
with Numbers
Sequential
Multiplier
Explain
Multiplication Algorithm
Incorrect
Multiplication Algorithm
Differential Cross
Multiplication Algorithm
Research Matrix
Algorithm
Discuss the Multiplication Algorithm
in Detail with Diagram
Booth
Multiplication
Algorithm of Multiplication
of Two Number
2 by 2 Matrix
Multiplication
Matrix Multiplication
Complexity Timeline
Multipulcation
Algorithms
Algorithm
Method of Multiplication
Multiplication Algorithm
Pages Print Out Free
Shift and Add
Multiplication Algorithm
Algorithm
to Make Mutiplication Table
Matrix Multiplication
as Data Flow
Example of Solving
Multiplication Algorithm
49X3 Standard
Multiplication Algorithm
Signed Magnitude
Multiplication Algorithm
Multiplication Algorithm
On 23 X 19
Multiplication Algorithm
Examples 2 by 3
Bools Algorithm
Multilpication Flow Chart
Algorithm for Multiplication
of 2 Noss
Partial Products
Algorithm
320×320
researchgate.net
Example for Array Multiplication F. Seque…
321×146
researchgate.net
Example for Array Multiplication F. Sequential Multiplication Al…
146×146
researchgate.net
Example for Array Multiplication F. S…
4000×2250
mathsquad.org
Multiplication Algorithm – mathsquad
Related Products
Multiplication Algorithm Book
Multiplication Algorithm Poster
Multiplication Algorithm Flashc…
320×180
slideshare.net
Sequential Version / Version 1 Unsigned Multiplication Algori…
320×180
slideshare.net
Sequential Version / Version 1 Unsigned Multiplication Algori…
2048×1152
slideshare.net
Sequential Version / Version 1 Unsigned Multiplication Algorithm | PPTX
2048×1152
slideshare.net
Sequential Version / Version 1 Unsigned Multiplication Algorithm | PPTX
542×616
benchpartner.com
Multiplication Algorithm - Bench Partner
2048×1152
slideshare.net
Sequential multiplication | PPTX
2048×1152
slideshare.net
Sequential multiplication | PPTX
640×480
slideshare.net
Multiplication Algorithm | PPT | Computing | Technology & Computing
Explore more searches like
Sequential
Multiplication Algorithm
Movement Drawing
Learning Logo
Gear Lever
LED Tail Lights
Movement Photography
Shift Pattern
Art Inspiration
Artist Logo
Organization Structure
Algorithm Examples
Company Logo
Circuit Types
2048×1536
slideshare.net
Multiplication Algorithm | PPT | Computing | Technology & Computing
2048×1536
slideshare.net
Multiplication Algorithm | PPT | Computing | Technology & Computing
2048×1536
slideshare.net
Multiplication Algorithm | PPT | Computing | Technology & Computing
700×610
Wikipedia
Multiplication algorithm - Wikipedia
307×197
gebert.weebly.com
Multiplication - The standard algorithm - EGMS Math and Sc…
520×357
researchgate.net
1. Sequential algorithm for sparse matrix-vector multiplication, where ...
2048×1536
slideshare.net
Multiplication algorithm | PPTX
2048×1536
slideshare.net
Multiplication algorithm | PPTX
2048×1536
slideshare.net
Multiplication algorithm | PPTX
638×359
slideshare.net
Sequential Version / Version 1 Unsigned Multiplication Algorithm | PPT
850×364
researchgate.net
3 -Sequential algorithm illustration | Download Scientific Diagram
756×368
ResearchGate
Example for Sequential Multiplication | Download Scientific Diagram
850×607
researchgate.net
Proposed multiplication algorithm | Download Scientific Diagram
766×706
ResearchGate
4 Hardware realization of the sequential multiplication algorithm with ...
640×640
ResearchGate
4 Hardware realization of the sequential multiplication algori…
320×320
researchgate.net
Algorithm 3 Proposed Online Multiplication | Download Scie…
People interested in
Sequential
Multiplication Algorithm
also searched for
Tech Logo
Turbo Diagram
Function Chart Template
Circuits Pro 1
Design Example
Steps Examples
Switching Circuits
FlowChart Programming
ARRT
Logic Cartoon
Art
Function Chart Help
679×700
chegg.com
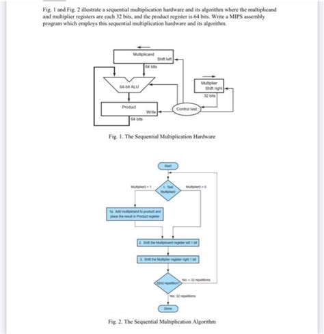
Fig. I and Fig. 2 illustrate a sequential | Chegg.c…
723×360
ResearchGate
Digit-serial constant multiplier using the sequential multiplication ...
700×564
chegg.com
Figure A and B show the sequential multiplication | Che…
525×700
chegg.com
Figure A and B show the seque…
360×360
ResearchGate
Digit-serial constant multiplier using the seq…
700×523
chegg.com
Solved Problem 0 Fig. 1 and Fig. 2 illustrate a sequential | Chegg.com
320×320
researchgate.net
Algorithm 2 Serial-Parallel Online Multiplication | Dow…
Some results have been hidden because they may be inaccessible to you.
Show inaccessible results
Report an inappropriate content
Please select one of the options below.
Not Relevant
Offensive
Adult
Child Sexual Abuse
Feedback