The photos you provided may be used to improve Bing image processing services.
Privacy Policy
|
Terms of Use
Can't use this link. Check that your link starts with 'http://' or 'https://' to try again.
Unable to process this search. Please try a different image or keywords.
Try Visual Search
Search, identify objects and text, translate, or solve problems using an image
Drag one or more images here,
upload an image
or
open camera
Drop images here to start your search
To use Visual Search, enable the camera in this browser
All
Search
Images
Inspiration
Create
Collections
Videos
Maps
News
More
Shopping
Flights
Travel
Notebook
Top suggestions for Bayesian Model with Utility
Bayesian
Modeling
Bayesian
Equation
Bayesian
Example
Bayesian
Curve
Bayesian
Priors
Bayesian
Graph
Bayesian
Graphical Model
Bayesian Models
of Cognition
Bayesian
AI Model
Bayesian
Game Model
Bayesian
VAR Model
Bayes
Model
Bayesian Model
of Yacht
Bayesian
Diagram
Bayesian
Interior
Bayesian
Sem
General Linear
Model
Bayesian
Raised
Bayesian
Mixed Model
What Is a
Bayesian Model
Bayesian
Floor Plan
Bayesian Model
Evolution
Cartoon
Bayesian
Bayesian
Probability Model
Bayesian
Multi-State Model
Hierarchical
Bayesian
Bayesian
London
Bayesian
Cur
Bayes
Theorem
Bayesian Model
Combination
Bayesian
People
Bayesian
Chart
MV
Bayesian
Bayesian
Hydraulic Model
Bayesian
Deck Plan
Bayesian Model
Plots
Generalized Linear
Model
Bayesian
Heel
Bayesian Model
Averaging Equation
Variational
Bayesian
Bayesian
Phenytoin Model
Bayesian
Cabin Layout
Bayesian
Paradigm
Bayesian
MMR Model
Bayesian
Ya
Bayesian
Yacht Owner
Probabilistic
Model
Bayesian
Icon
Baysian Hierarchical
Model
Bayesian
Coalescent Model
Explore more searches like Bayesian Model with Utility
Global
Map
Selection
Poster
Mixed
Media
Graphical
Diagram
What
is
Ridge
Regression
Linear
Regression
Structural
Equation
Structure
Diagram
Presentation
Slides
Gaussian
Mixture
Latent
Class
Gaussian Spherical
Projection
Example
Graphical
Sampling
Diagram
Observer
Simple
Prediction
Statistical
Zimbabwe
Culture
Vancomycin
General
Hierarchical
MultiLevel
Averaging
Equation
Interpolation
People interested in Bayesian Model with Utility also searched for
Causal
Inference
Integrative
Tensor
Hierarchical
Binomial
Mathematical
Principle
Classifier
Graph
Personalized
Ranking
Autoplay all GIFs
Change autoplay and other image settings here
Autoplay all GIFs
Flip the switch to turn them on
Autoplay GIFs
Image size
All
Small
Medium
Large
Extra large
At least... *
Customized Width
x
Customized Height
px
Please enter a number for Width and Height
Color
All
Color only
Black & white
Type
All
Photograph
Clipart
Line drawing
Animated GIF
Transparent
Layout
All
Square
Wide
Tall
People
All
Just faces
Head & shoulders
Date
All
Past 24 hours
Past week
Past month
Past year
License
All
All Creative Commons
Public domain
Free to share and use
Free to share and use commercially
Free to modify, share, and use
Free to modify, share, and use commercially
Learn more
Clear filters
SafeSearch:
Moderate
Strict
Moderate (default)
Off
Filter
Bayesian
Modeling
Bayesian
Equation
Bayesian
Example
Bayesian
Curve
Bayesian
Priors
Bayesian
Graph
Bayesian
Graphical Model
Bayesian Models
of Cognition
Bayesian
AI Model
Bayesian
Game Model
Bayesian
VAR Model
Bayes
Model
Bayesian Model
of Yacht
Bayesian
Diagram
Bayesian
Interior
Bayesian
Sem
General Linear
Model
Bayesian
Raised
Bayesian
Mixed Model
What Is a
Bayesian Model
Bayesian
Floor Plan
Bayesian Model
Evolution
Cartoon
Bayesian
Bayesian
Probability Model
Bayesian
Multi-State Model
Hierarchical
Bayesian
Bayesian
London
Bayesian
Cur
Bayes
Theorem
Bayesian Model
Combination
Bayesian
People
Bayesian
Chart
MV
Bayesian
Bayesian
Hydraulic Model
Bayesian
Deck Plan
Bayesian Model
Plots
Generalized Linear
Model
Bayesian
Heel
Bayesian Model
Averaging Equation
Variational
Bayesian
Bayesian
Phenytoin Model
Bayesian
Cabin Layout
Bayesian
Paradigm
Bayesian
MMR Model
Bayesian
Ya
Bayesian
Yacht Owner
Probabilistic
Model
Bayesian
Icon
Baysian Hierarchical
Model
Bayesian
Coalescent Model
1456×816
statology.org
Your First Bayesian Model
1200×630
apxml.com
Advanced Bayesian Model Checking
850×553
researchgate.net
Model 1 (the Bayesian model) | Download Scientific Diagram
640×640
researchgate.net
Model 1 (the Bayesian model) | Download Sc…
Related Products
Bayesian Model Selection
Network Models
Linear Regression
865×357
wallstreetmojo.com
Bayesian Model Averaging - What Is It, Example, Formula, Benefits
1282×907
bayesianspectacles.org
Preprint: A Conceptual Introduction to Bayesian Model Averaging ...
850×674
researchgate.net
Simulated Bayesian Network Model | Download Scientifi…
1344×960
rworks.dev
A Simple Bayesian Multi-state Survival Model for a Clinical Trial – R Works
1028×630
curriculumredesign.org
Bayesian Toolkit | Center for Curriculum Redesign | Education for the ...
780×891
soh-vehe.jp
Utility-Model Application
600×450
iqs.com.tr
Utility Model | IQS
Explore more searches like
Bayesian Model
with Utility
Global Map
Selection Poster
Mixed Media
Graphical Diagram
What is
Ridge Regression
Linear Regression
Structural Equation
Structure Diagram
Presentation Slides
Gaussian Mixture
Latent Class
320×320
researchgate.net
Bayesian model considered | Download Scientific Dia…
850×619
researchgate.net
The continuous Bayesian model updating methodology. | Download ...
1265×711
storage.googleapis.com
What Is Bayesian Model at Heather Meyers blog
320×320
researchgate.net
Structure of the bayesian user model. | Download S…
207×227
researchgate.net
Example Bayesian model. | Downlo…
170×170
researchgate.net
Bayesian Network Model | Downloa…
850×889
researchgate.net
The structure of Bayesian model. | D…
850×955
researchgate.net
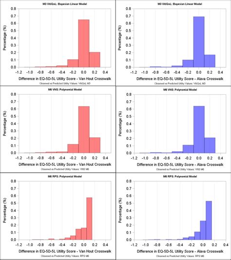
Distribution of Differences in Pred…
1000×857
en.wikipedia.org
Bayesian hierarchical modeling - Wikipedia
677×476
wallstreetmojo.com
Bayesian Modeling - What Is It, Averaging, Examples, Applications
850×819
researchgate.net
3.3-Bayesian network, including location, th…
595×842
academia.edu
(PDF) Proposal of a Modified …
1600×686
publichealth.columbia.edu
What Is Bayesian Modeling? | Columbia University Mailman School of ...
640×640
researchgate.net
Simple Utility Model | Download Scientifi…
929×478
wallstreetmojo.com
Bayesian Information Criterion (BIC) - What It Is, Formula, Example
1096×664
data-science.io
The Null Space ~ Bayesian Networks in Services Marketing
884×705
data-science.io
The Null Space ~ Bayesian Networks in Services Marketing
434×189
researchgate.net
A Bayesian Network for Utility-Based Link Recommendation | Download ...
741×741
bardai.ai
Demystifying Bayesian Models: Unveiling Explan…
People interested in
Bayesian Model
with Utility
also searched for
Causal Inference
Integrative Tensor
Hierarchical Binomial
Mathematical Principle
Classifier Graph
Personalized Ranking
640×640
researchgate.net
Three-Component Utility Model. | Download Scientifi…
850×598
researchgate.net
Integrated Bayesian model (model and scenario variables are shown as ...
850×630
researchgate.net
Group Bayesian model averaging results. BMA confirms the assumption of ...
834×620
researchgate.net
Bayesian learning-based computational model for application ...
850×1130
researchgate.net
Bayesian orientation optimization. a, Ov…
Some results have been hidden because they may be inaccessible to you.
Show inaccessible results
See more images
Recommended for you
Sponsored
Report an inappropriate content
Please select one of the options below.
Not Relevant
Offensive
Adult
Child Sexual Abuse
Feedback