The photos you provided may be used to improve Bing image processing services.
Privacy Policy
|
Terms of Use
Can't use this link. Check that your link starts with 'http://' or 'https://' to try again.
Unable to process this search. Please try a different image or keywords.
Try Visual Search
Search, identify objects and text, translate, or solve problems using an image
Drag one or more images here,
upload an image
or
open camera
Drop images here to start your search
To use Visual Search, enable the camera in this browser
All
Search
Images
Inspiration
Create
Collections
Videos
Maps
News
More
Shopping
Flights
Travel
Notebook
Top suggestions for Best Example Problems for Dynamics Final
Dynamics Problems
Dynamics
Practice Problems
Dynamic Programming
Example Problems
Dynamics
Exam
Dynamics
Physics Problems
Dynamics
Pulley Problems
Kinematics
Example Problems
Engineering
Dynamics Problems
Impulse
Example Problems
Vehicle
Dynamics
Market
Dynamics
Dynamic
Programming Examples
Dynamics
Impact Problems
IC
Example Problems Dynamics
Dynamics
Energy Problems
Vehicle Dynamics
Exapmle Problems
Rotational
Dynamics Problem
Particle Motion
Dynamics
Common
Dynamics Problems
Dynamics
Math Problems
Examples
of Rectilinear Motion
Dynamics Example Problem
Hard
Rectilinear Motion Problems
and Solutions
Rectilinear Problems
and Solution
Dynamic
Equilibrium Example
Fe
Dynamics Problems
Dynamics Sample Problems
with Solutions
Mechanical
Dynamics Examples
How to Solve
Dynamics Problems
Dynamics Problem
Car
Problem
Slide Examples
Dynamic
Programming Questions
Dynamics Problems Final
Dynamics
Punch Problems
System Dynamics
Model Example
Dynamics
Kinetics Problems
Fluid
Dynamics Problems
Roatatonal Dynamics
Energy Problems
Mariam and Cage
Dynamics Problems
Centre of Percussion
Dynamics Problems
Two-Point Formula
Dynamics Example Problem
Knapsack
Problem
Dynamics
Problesm
Dynamic
Torque
Rigid Body
Kinematics
Dynamic
Link Problem
Dynamics
Pengiun Problem
Projectile Motion
Examples
Dynamics Example Problem
with Friction
Fe Exam
Dynamics Review
Explore more searches like Best Example Problems for Dynamics Final
Stop
Light
Impulse-Momentum
Unit Test
Review
Pin
Slot
Projectile
Motion
Circular
Loop
Circular
Motion
Mechanical
Engineering
Rigid Bodies
Example
Answer
sheet
Really
Hard
Machine
Diagrams
AP
Physics
Rectilinear
Motion
Family
Mental
Choosing Method
Solve
Point
All Formula
For
Solutions
Small
Group
Solutions
12 202
Tipping
Mechanical
System
People interested in Best Example Problems for Dynamics Final also searched for
Group
Aerospace
Engineering
Work Force
Sample
Truck
Pulley
Linear
Rotational
Examples
Rotational
Physics
Hard
Fluid
Polar Coordinate
Systems
Solutions
PDF
Gfdm Flow Chart
for Fluid
Autoplay all GIFs
Change autoplay and other image settings here
Autoplay all GIFs
Flip the switch to turn them on
Autoplay GIFs
Image size
All
Small
Medium
Large
Extra large
At least... *
Customized Width
x
Customized Height
px
Please enter a number for Width and Height
Color
All
Color only
Black & white
Type
All
Photograph
Clipart
Line drawing
Animated GIF
Transparent
Layout
All
Square
Wide
Tall
People
All
Just faces
Head & shoulders
Date
All
Past 24 hours
Past week
Past month
Past year
License
All
All Creative Commons
Public domain
Free to share and use
Free to share and use commercially
Free to modify, share, and use
Free to modify, share, and use commercially
Learn more
Clear filters
SafeSearch:
Moderate
Strict
Moderate (default)
Off
Filter
Dynamics Problems
Dynamics
Practice Problems
Dynamic Programming
Example Problems
Dynamics
Exam
Dynamics
Physics Problems
Dynamics
Pulley Problems
Kinematics
Example Problems
Engineering
Dynamics Problems
Impulse
Example Problems
Vehicle
Dynamics
Market
Dynamics
Dynamic
Programming Examples
Dynamics
Impact Problems
IC
Example Problems Dynamics
Dynamics
Energy Problems
Vehicle Dynamics
Exapmle Problems
Rotational
Dynamics Problem
Particle Motion
Dynamics
Common
Dynamics Problems
Dynamics
Math Problems
Examples
of Rectilinear Motion
Dynamics Example Problem
Hard
Rectilinear Motion Problems
and Solutions
Rectilinear Problems
and Solution
Dynamic
Equilibrium Example
Fe
Dynamics Problems
Dynamics Sample Problems
with Solutions
Mechanical
Dynamics Examples
How to Solve
Dynamics Problems
Dynamics Problem
Car
Problem
Slide Examples
Dynamic
Programming Questions
Dynamics Problems Final
Dynamics
Punch Problems
System Dynamics
Model Example
Dynamics
Kinetics Problems
Fluid
Dynamics Problems
Roatatonal Dynamics
Energy Problems
Mariam and Cage
Dynamics Problems
Centre of Percussion
Dynamics Problems
Two-Point Formula
Dynamics Example Problem
Knapsack
Problem
Dynamics
Problesm
Dynamic
Torque
Rigid Body
Kinematics
Dynamic
Link Problem
Dynamics
Pengiun Problem
Projectile Motion
Examples
Dynamics Example Problem
with Friction
Fe Exam
Dynamics Review
768×1024
scribd.com
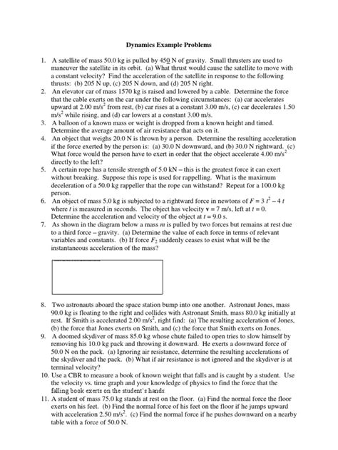
Dynamics Example Problems | PDF | Tension (Physics) | F…
768×1024
scribd.com
Dynamics Sample Problem | PDF | Stiffness | Beam (Stru…
768×1024
scribd.com
Final Term Sample Problem | PDF
180×233
coursehero.com
Dynamics Final Exam Guide: Key Instructions & Problem …
768×1024
scribd.com
Dynamics Sample Final Exam Questions With Answers 20…
1200×1553
studocu.com
Dynamicsproblems 7 - Dynamics: Problem Sheet 7 …
1280×1656
docsity.com
Final Exam with Basic Formula - Dynamics | MEM …
180×234
coursehero.com
Engineering Dynamics Final Exam Fall 2022 | Course Hero
768×1024
scribd.com
Dynamics Final Exam | PDF
768×1024
scribd.com
Dynamics Sample Problem with Solution | PDF
595×842
docsity.com
Modeling Dynamics and Control I Sample Final Probl…
180×233
coursehero.com
2017 Dynamics Final Exam solution.pdf - MEN27002 Dy…
Related Searches
Problems
in
Group
Dynamics
Aerospace
Engineering
Dynamics
Problems
Work
and
Force
Sample
Problems
Dynamics
Dynamics
Truck
Pulley
Problems
180×234
coursehero.com
Dynamics Final.pdf - | Course Hero
1200×1700
stuvia.com
Business Dynamics FINAL EXAM (A+ Graded Already) …
1200×1698
studocu.com
Dynamics final revision - Mechanics - Studocu
768×1024
scribd.com
ENG534 Dynamics - Final Exam - Solution 2021 | PDF
375×500
quizlet.com
Dynamics Final Problems Flashcards | Quizlet
Related Searches
Dynamics
Problems
On
Stop
Light
Dynamics
Impulse
-
Momentum
Problems
Dynamics
Unit
Test
Review
Problems
Dynamics
Problems
W
Pin
and
Slot
1200×1698
studocu.com
Dynamics Final exam Practice problems - MACROECONO…
768×1024
scribd.com
Dynamics Problem | PDF
1200×1553
studocu.com
Dynamicsproblems 4 - Dynamics: Problem Sheet 4 …
1620×2292
studypool.com
SOLUTION: Dynamics basic formulas concepts and sam…
768×1024
scribd.com
Final Prep Problems-Sol | PDF | Mathematics | Probability
768×1024
scribd.com
Practice Final Solutions | PDF
181×233
coursehero.com
Dynamics Final Exam.pdf - | Course Hero
768×1024
scribd.com
Dynamics Final Exam Practice | PDF | Velocity | Spacetime
768×994
studylib.net
Practice Problems: Final Exam
1240×1754
studypool.com
SOLUTION: Dynamics final exam with answers - Studyp…
1200×1698
studocu.com
Final dynamics Exam - Department of Applied Mech…
768×1024
scribd.com
Final Accounts Problems and Solutions - Final Accounts Q…
768×1024
scribd.com
Dynamics Final Solutions | PDF
180×234
coursehero.com
Dynamics Final Exam.docx - Dynamics Final Exam Assig…
768×1024
scribd.com
Dynamics Final Exam Overview | PDF | Force | Fri…
1200×1553
studocu.com
Dynamicsproblems 6 - Dynamics: Problem Sheet 6 …
1200×1553
studocu.com
Dynamicsproblems 1 - Dynamics: Problem Sheet 1 …
1200×1553
studocu.com
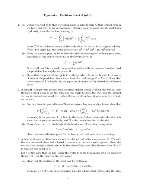
Dynamicsproblems 8 - Dynamics: Problem Sheet 8 …
Related Searches
Projectile
Motion
Problems
Dynamics
Dynamics
Circular
Loop
Problems
Circular
Motion
Dynamics
Problems
Mechanical
Engineering
Dynamics
Problems
Some results have been hidden because they may be inaccessible to you.
Show inaccessible results
See more images
Recommended for you
Sponsored
Report an inappropriate content
Please select one of the options below.
Not Relevant
Offensive
Adult
Child Sexual Abuse
Feedback