The photos you provided may be used to improve Bing image processing services.
Privacy Policy
|
Terms of Use
Can't use this link. Check that your link starts with 'http://' or 'https://' to try again.
Unable to process this search. Please try a different image or keywords.
Try Visual Search
Search, identify objects and text, translate, or solve problems using an image
Drag one or more images here,
upload an image
or
open camera
Drop images here to start your search
To use Visual Search, enable the camera in this browser
All
Search
Images
Inspiration
Create
Collections
Videos
Maps
News
More
Shopping
Flights
Travel
Notebook
Top suggestions for Chess Structures
Pawn
Structure Chess
Chess
Board Pawn
Pawn Chess
Piece Moves
Carlsbad
Structure Chess
Queen Pawn
Chess
Multi-Level
Chess Board
Chess
Board Set Up Diagram
Three-Dimensional
Chess
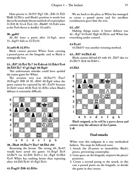
Basic
Chess Structure
Best Chess
Pawn Structure
Chess
Piece Patterns
Stonewall
Structure Chess
Chess
Pond Structure
Chess
Formation
Queen Chess
Piece Clip Art
Chess
All Pawns
Black Pawn
Chess
Chess
Pion
Araxi Structure
in Chess
Chess
Pieces Design
Chess
Pawn Skeleton
Fool's Mate
Chess
Good Pawn
Structure Chess
Spanish Opening
Chess
Chess
Board Layout
Battery in
Chess
Catalan
Chess
Pawn Power in
Chess
Chess
Pawn Push
Chess
Move Symbols
Soltis Pawn
Structure Chess
Gient Game
Chess Structure
E
Chess Structure
Thomas and
Chess Structure
Chess
Pawn vs Pawn
Italy
Structure Chess
French
Structure Chess
Pawn
Formations
Pawn Island
Chess
Pass
Pawn
Chess
Ka Structure
Chess
Pieces Template
Chess
Rook Moves
Chess
Drawing
Chess
Parking Structure
Chess
Pawn Defense Structure
Chess
Tournament Structure
Body Chess
Anatomy
Fichestov
Structure Chess
Chess
King Mozaik Structure
Explore more searches like Chess Structures
Clip
Art
Cheat
Sheet
Board
Design
Board
Background
Set
Wallpaper
Board
Pieces
Fan
Art
Games
for Free
Games
Free
Board
Print
3-Dimensional
Black
White
People interested in Chess Structures also searched for
Kids
Playing
Rules Cheat
Sheet
Board
Pic
Civil
War
Cool Math
Games
Board
Table
Rook
Wallpaper
Star
Wars
Wallpaper
4K
Black
Template
Board Set
Up
Piece
Patterns
House
For
Beginners
Images.
Free
Sport
Old
Wooden
Computer
Outline
Board
Layout
Autoplay all GIFs
Change autoplay and other image settings here
Autoplay all GIFs
Flip the switch to turn them on
Autoplay GIFs
Image size
All
Small
Medium
Large
Extra large
At least... *
Customized Width
x
Customized Height
px
Please enter a number for Width and Height
Color
All
Color only
Black & white
Type
All
Photograph
Clipart
Line drawing
Animated GIF
Transparent
Layout
All
Square
Wide
Tall
People
All
Just faces
Head & shoulders
Date
All
Past 24 hours
Past week
Past month
Past year
License
All
All Creative Commons
Public domain
Free to share and use
Free to share and use commercially
Free to modify, share, and use
Free to modify, share, and use commercially
Learn more
Clear filters
SafeSearch:
Moderate
Strict
Moderate (default)
Off
Filter
Pawn
Structure Chess
Chess
Board Pawn
Pawn Chess
Piece Moves
Carlsbad
Structure Chess
Queen Pawn
Chess
Multi-Level
Chess Board
Chess
Board Set Up Diagram
Three-Dimensional
Chess
Basic
Chess Structure
Best Chess
Pawn Structure
Chess
Piece Patterns
Stonewall
Structure Chess
Chess
Pond Structure
Chess
Formation
Queen Chess
Piece Clip Art
Chess
All Pawns
Black Pawn
Chess
Chess
Pion
Araxi Structure
in Chess
Chess
Pieces Design
Chess
Pawn Skeleton
Fool's Mate
Chess
Good Pawn
Structure Chess
Spanish Opening
Chess
Chess
Board Layout
Battery in
Chess
Catalan
Chess
Pawn Power in
Chess
Chess
Pawn Push
Chess
Move Symbols
Soltis Pawn
Structure Chess
Gient Game
Chess Structure
E
Chess Structure
Thomas and
Chess Structure
Chess
Pawn vs Pawn
Italy
Structure Chess
French
Structure Chess
Pawn
Formations
Pawn Island
Chess
Pass
Pawn
Chess
Ka Structure
Chess
Pieces Template
Chess
Rook Moves
Chess
Drawing
Chess
Parking Structure
Chess
Pawn Defense Structure
Chess
Tournament Structure
Body Chess
Anatomy
Fichestov
Structure Chess
Chess
King Mozaik Structure
768×1024
scribd.com
Sphoorthi Chess - 14 Pawn Str…
768×1024
scribd.com
Pawn-Structures - Why Pawns …
768×1024
scribd.com
Mauricio Flores Rios Chess Str…
480×260
chess-teacher.com
Pawn Structures Guide | 2 Chess Rules: Right Middlegame Plan
Related Products
Chess Sets
Wooden Chess Pieces
Magnetic Chess Board
675×670
www.chess.com
Pawn structures. Part 2. - Chess.com
1069×581
supercharge.thechessworld.com
Pawn Structures and Openings - Free Course — 21 Days to Supercharge ...
5169×3446
simplifychess.com
The Complete Guide To Pawn Structures - Chess Simplified
1069×581
supercharge.thechessworld.com
Pawns Structure Mastery - FREE course — 21 Days to Supercharge Your ...
1000×563
Chess.com
Learning Basic Pawn Structures - Chess.com
668×375
www.chess.com
The Importance of Pawn Structures in Chess - Chess.com
755×758
ppqty.com
Pawn Structures in Chess (Examples) …
1057×1500
chessreads.com
Chess Structures: A …
825×500
www.chess.com
Long term strategy-Pawn structures - Chess.com
4096×2730
simplifychess.com
Pawn Structures Archives - Chess Simplified
Explore more searches like
Chess
Structures
Clip Art
Cheat Sheet
Board Design
Board Background
Set Wallpaper
Board Pieces
Fan Art
Games for Free
Games Free
Board Print
3-Dimensional
Black White
4096×2512
simplifychess.com
Pawn Structures Archives - Chess Simplified
2048×1365
simplifychess.com
Pawn Structures Archives - Chess Simplified
1200×628
thechessworld.com
Understanding Pawn Structures - TheChessWorld
587×585
simplifychess.com
Why You Need To Learn Chess Pawn Structure…
640×640
www.pinterest.com
Chess Structures - A Grandmaster Guide
1200×1600
booktankbd.com
Chess Structures: A Grandmaster Guid…
768×414
thechessworld.com
Pawn Structures and Attacks - TheChessWorld
867×475
thechessworld.com
Pawn Structures and Attacks - TheChessWorld
1200×628
thechessworld.com
Pawn Structures: 10 Ones Every Chess Player Should Know - TheChessWorld
640×375
www.chess.com
Pawn Structures Unveiled: Shaping Strategies and Deciphering Dynamics ...
1280×720
thechessworld.com
10 Pawn Structures in Chess: Comprehensive Guide - TheChessWorld
1020×1439
docslib.org
Chess Structures a G…
925×1280
chesscentral.com
Key Concepts of Chess: Pawn Str…
1280×720
thechessworld.com
7 Advanced Pawn Structures in Chess You Must Know - TheChessWorld
1495×783
thechessadvisor.com
Book Review of Chess Structures: A Grandmaster Guide - The Chess Advisor
640×640
thechessworld.com
Pawn Structures Manual with IM Edward Porper - …
People interested in
Chess
Structures
also searched for
Kids Playing
Rules Cheat Sheet
Board Pic
Civil War
Cool Math Games
Board Table
Rook Wallpaper
Star Wars
Wallpaper 4K
Black
Template
Board Set Up
1414×2000
chesstutorai.com
ChessTutorAI
960×960
shopee.ph
Chess Structures: A Grandmaster Guide | Sho…
768×1024
scribd.com
Mauricio Flores Rios Chess Structures …
1024×1024
shopee.com.my
Chess Structures: A Grandmaster Guide | Sho…
768×1024
es.scribd.com
Chess Structures | PDF
Some results have been hidden because they may be inaccessible to you.
Show inaccessible results
See more images
Recommended for you
Sponsored
Report an inappropriate content
Please select one of the options below.
Not Relevant
Offensive
Adult
Child Sexual Abuse
Feedback