The photos you provided may be used to improve Bing image processing services.
Privacy Policy
|
Terms of Use
Can't use this link. Check that your link starts with 'http://' or 'https://' to try again.
Unable to process this search. Please try a different image or keywords.
Try Visual Search
Search, identify objects and text, translate, or solve problems using an image
Drag one or more images here,
upload an image
or
open camera
Drop images here to start your search
To use Visual Search, enable the camera in this browser
All
Search
Images
Inspiration
Create
Collections
Videos
Maps
News
More
Shopping
Flights
Travel
Notebook
Top suggestions for Mesh Current Analysis Method
Mesh Analysis
Example
Mesh Current
Mesh
Circuit
Mesh
Equation
Nodal
Analysis
Current
Loop
Super
Mesh
Electrical Circuit
Analysis
Super Mesh
Circuits
Superposition
Circuits
Circuit Analysis
Problems
Electric Circuit
Problems
Nodal Analysis
Examples with Solutions
Current Mesh
Formula
Mesh Analysis
Basic
Mesh Current
Matrix
Mesh Analysis
Approach
Mesh Analysis
for Currents
Analyzing Complex
Circuits
Mesh Analysis
Technique
Mesh Analysis
Matrix Solving
Mesh Analysis
with Two Loops
Node vs
Mesh Method
Node Voltage
Analysis Matrix
Mesh Analysis
with 4 Loops
KCL
Circuits
Lightning
Mesh Method
Ferox
Mesh Method
Mesh
Calculation
Superposition Theorem
Circuit
Mesh Analysis
Sums
Mesh Analysis
Circuit Mind Map
Thevenin
Equivalent
Mesh
Sampling
Mesh
Anaylysis Example
Resistor Circuit
Examples
Mesh Analysis
Kvl Formula
Explore more searches like Mesh Current Analysis Method
Dependent Current
Source
What
is
Parallel
Circuit
Multisim
Circuit
Mind
Map
Matrix
Equation
Open
Circuit
AC
Circuit
Current
Flow
Questions
For
Dependent
Sources
Current
Source
Basic
Circuit
Transfer
Function
Using
Super
Mesh
Method
Definition
Basic
Matrix
For
DC
Circuits
Is
Easy
شرح
Examples
Matrix
Rover
Solving
People interested in Mesh Current Analysis Method also searched for
Operational
Amplifier
Inductor
Capacitor
Complex
Numbers
Easy
Question
Drawing
Problems
Diodes
2 Loop
Problem
Guide
Hard
PDF
Tutorial
Shorts
Across
Applications
Autoplay all GIFs
Change autoplay and other image settings here
Autoplay all GIFs
Flip the switch to turn them on
Autoplay GIFs
Image size
All
Small
Medium
Large
Extra large
At least... *
Customized Width
x
Customized Height
px
Please enter a number for Width and Height
Color
All
Color only
Black & white
Type
All
Photograph
Clipart
Line drawing
Animated GIF
Transparent
Layout
All
Square
Wide
Tall
People
All
Just faces
Head & shoulders
Date
All
Past 24 hours
Past week
Past month
Past year
License
All
All Creative Commons
Public domain
Free to share and use
Free to share and use commercially
Free to modify, share, and use
Free to modify, share, and use commercially
Learn more
Clear filters
SafeSearch:
Moderate
Strict
Moderate (default)
Off
Filter
Mesh Analysis
Example
Mesh Current
Mesh
Circuit
Mesh
Equation
Nodal
Analysis
Current
Loop
Super
Mesh
Electrical Circuit
Analysis
Super Mesh
Circuits
Superposition
Circuits
Circuit Analysis
Problems
Electric Circuit
Problems
Nodal Analysis
Examples with Solutions
Current Mesh
Formula
Mesh Analysis
Basic
Mesh Current
Matrix
Mesh Analysis
Approach
Mesh Analysis
for Currents
Analyzing Complex
Circuits
Mesh Analysis
Technique
Mesh Analysis
Matrix Solving
Mesh Analysis
with Two Loops
Node vs
Mesh Method
Node Voltage
Analysis Matrix
Mesh Analysis
with 4 Loops
KCL
Circuits
Lightning
Mesh Method
Ferox
Mesh Method
Mesh
Calculation
Superposition Theorem
Circuit
Mesh Analysis
Sums
Mesh Analysis
Circuit Mind Map
Thevenin
Equivalent
Mesh
Sampling
Mesh
Anaylysis Example
Resistor Circuit
Examples
Mesh Analysis
Kvl Formula
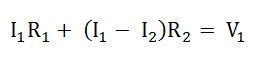
559×98
circuitglobe.com
What is Mesh Current Analysis Method? its matrix form - Circuit Globe
511×103
circuitglobe.com
What is Mesh Current Analysis Method? its matrix form - Circuit Globe
272×58
circuitglobe.com
What is Mesh Current Analysis Method? its matrix form - Circuit Globe
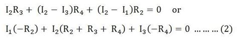
691×405
circuitglobe.com
What is Mesh Current Analysis Method? its matrix form - Circuit Globe
Related Products
Mesh Current Method
Kirchhoff's Laws
Solving Mesh Equations
500×101
circuitglobe.com
What is Mesh Current Analysis Method? its matrix form - Circuit Globe
602×99
circuitglobe.com
What is Mesh Current Analysis Method? its matrix form - Circuit Globe
570×241
instrumentationtools.com
Mesh Current Method - DC Network Analysis
1024×817
electricalacademia.com
Mesh Current Analysis | Mesh Analysis | Electrical Academia
1280×522
chegg.com
Solved Use mesh-current analysis method in the below circuit | Chegg.com
Explore more searches like
Mesh
Current
Analysis
Method
Dependent Current Source
What is
Parallel Circuit
Multisim Circuit
Mind Map
Matrix Equation
Open Circuit
AC Circuit
Current Flow
Questions For
Dependent Sources
Current Source
1814×582
chegg.com
Solved Use mesh-current analysis method in the below circuit | Chegg.com
700×656
chegg.com
Solved Circuit-3: Mesh Analysis The Mesh Curr…
1620×2096
studypool.com
SOLUTION: 5 mesh current a…
1620×2096
studypool.com
SOLUTION: 5 mesh current a…
1620×2096
studypool.com
SOLUTION: 5 mesh current a…
1620×2096
studypool.com
SOLUTION: 5 mesh current a…
768×617
electric-shocks.com
Mesh Current Analysis with Example and Curre…
1564×1108
chegg.com
Solved Problem 05: Use mesh-current analysis method in th…
550×283
circuitdigest.com
Mesh Current Analysis or Method Explained with Examples
600×286
circuitdigest.com
Mesh Current Analysis or Method Explained with Examples
750×478
circuitdigest.com
Mesh Current Analysis or Method Explained with Examples
924×482
Chegg
Solved 3. Using the mesh-current (mesh analysis) method, | Chegg.com
803×458
Chegg
Solved Mesh-Current analysis Solve for the power delivered | Chegg.com
750×435
byjus.com
Mesh Analysis - Definition, Steps Involved And Examples
1354×931
chegg.com
Solved Use the mesh-current analysis method to find:a) All | C…
642×744
Chegg
Solved Mesh Analysis 3 Use th…
1726×846
chegg.com
Solved If we apply the mesh current analysis method to the | Chegg.com
1696×590
chegg.com
Solved If we apply the mesh current analysis method to the | Chegg.com
People interested in
Mesh
Current
Analysis
Method
also searched for
Operational Amplifier
Inductor Capacitor
Complex Numbers
Easy Question
Drawing
Problems
Diodes
2 Loop Problem
Guide
Hard
PDF
Tutorial
805×367
forumelectrical.com
What is Mesh Current Analysis?
512×288
Khan Academy
Mesh current method (article) | Khan Academy
4003×1227
Stack Exchange
Mesh current analysis question - Electrical Engineering Stack Exchange
1024×652
numerade.com
SOLVED: Texts: Mesh current analysis. Calculate I1 and I2. 1. Con…
728×440
Electrical Engineering Portal
The Mesh Current Method For Analysis Of Electric Circuits | EEP
700×487
chegg.com
Solved 3) Using the mesh-current analysis method, find the | Chegg…
804×478
Chegg
Solved Using the mesh-current analysis method, find the | Chegg.com
GIF
384×186
elamazing.com
Mesh Current Analysis - The Amazing World of Electronics
Some results have been hidden because they may be inaccessible to you.
Show inaccessible results
Report an inappropriate content
Please select one of the options below.
Not Relevant
Offensive
Adult
Child Sexual Abuse
Feedback