The photos you provided may be used to improve Bing image processing services.
Privacy Policy
|
Terms of Use
Can't use this link. Check that your link starts with 'http://' or 'https://' to try again.
Unable to process this search. Please try a different image or keywords.
Try Visual Search
Search, identify objects and text, translate, or solve problems using an image
Drag one or more images here,
upload an image
or
open camera
Drop images here to start your search
To use Visual Search, enable the camera in this browser
All
Search
Images
Inspiration
Create
Collections
Videos
Maps
News
More
Shopping
Flights
Travel
Notebook
Top suggestions for Z-Transforms Recurrence Formula
Inverse
Z Transform Formula
Z Transform Formula
Sheet
Laplace
Transform Formula
Table of
Z Transforms
Basic
Z Transform Formula
Tranform Z
-Table
Z Transform Formula
List
Z Transform
Properties
Z Transform
Chart
Z-
Domain Table
Z Transform
Pairs Table
Z Transform
of Cos
Z Transform
of 1
Z Transform
Table Complete
Common
Z-Transforms
Z Transform
Equation
Application of
Z Transform
Z-
Transformation
Z Transform
of a N
Z
Transfer Table
Z Transform
Plot
Z Transform
of N 2
Z Transform
of Exponential Function
Final Value Theorem
Z Transform
Z Transform
Table PDF
Z Transform
Examples
Inverse Fourier
Transform Table
Z Transform Formula
for Differential Equations
Z Transform
Roc
Z Transform
Stability
Z Transform
of a Sequence
Z Transform
Definition
Z Transform
of Cosine
Step Function
Z Transform
Z Transform
Alll Formula
Z
Trasnform
Unit Step
Z Transform
Z Transform
Unit Circle
Unilateral
Z Transform
Inverse Transform
Method
Z Transform
of Sin
Standard
Z Transform
Z Transform
of K
Z Transform
Signal
Z Transform
Problems
Z
Transorm
Residue Theorem
Z Transform
Z Transform
Difference Equation
Z Transform
Convolution
Fourier Transform
vs Z Transform
Explore more searches like Z-Transforms Recurrence Formula
Zero-Order
Hold
Difference
Equation
Complex
Numbers
Digital Control
System
Sine
Wave
Cos
Theta
Geometric
Series
What
is
Exponential
Function
Circuit
Diagram
Images
for PPT
Convolution
Theorem
Digital
Control
State
Equation
Sin
Cos
Fourier
Series
Table
HD
Periodic
Signal
Residue
Theorem
Block Diagram
Representation
Continuous
Signal
Block
Diagram
Unit
Circle
Signal
System
Sinc
One-Sided
Graph
Wave
Cosine
Book
Convolution
Exponential
TimeShift
Equation
Constant
Alpha
Closed-Form
Theory
People interested in Z-Transforms Recurrence Formula also searched for
Long
Division
Trigonometric
Functions
Imaginary
Square
Control
Systems
0
Graph
3D
VTU Formula
Table
Abstract
Symbols
2
Tabel
Digital
Filter
Pinoybix
Autoplay all GIFs
Change autoplay and other image settings here
Autoplay all GIFs
Flip the switch to turn them on
Autoplay GIFs
Image size
All
Small
Medium
Large
Extra large
At least... *
Customized Width
x
Customized Height
px
Please enter a number for Width and Height
Color
All
Color only
Black & white
Type
All
Photograph
Clipart
Line drawing
Animated GIF
Transparent
Layout
All
Square
Wide
Tall
People
All
Just faces
Head & shoulders
Date
All
Past 24 hours
Past week
Past month
Past year
License
All
All Creative Commons
Public domain
Free to share and use
Free to share and use commercially
Free to modify, share, and use
Free to modify, share, and use commercially
Learn more
Clear filters
SafeSearch:
Moderate
Strict
Moderate (default)
Off
Filter
Inverse
Z Transform Formula
Z Transform Formula
Sheet
Laplace
Transform Formula
Table of
Z Transforms
Basic
Z Transform Formula
Tranform Z
-Table
Z Transform Formula
List
Z Transform
Properties
Z Transform
Chart
Z-
Domain Table
Z Transform
Pairs Table
Z Transform
of Cos
Z Transform
of 1
Z Transform
Table Complete
Common
Z-Transforms
Z Transform
Equation
Application of
Z Transform
Z-
Transformation
Z Transform
of a N
Z
Transfer Table
Z Transform
Plot
Z Transform
of N 2
Z Transform
of Exponential Function
Final Value Theorem
Z Transform
Z Transform
Table PDF
Z Transform
Examples
Inverse Fourier
Transform Table
Z Transform Formula
for Differential Equations
Z Transform
Roc
Z Transform
Stability
Z Transform
of a Sequence
Z Transform
Definition
Z Transform
of Cosine
Step Function
Z Transform
Z Transform
Alll Formula
Z
Trasnform
Unit Step
Z Transform
Z Transform
Unit Circle
Unilateral
Z Transform
Inverse Transform
Method
Z Transform
of Sin
Standard
Z Transform
Z Transform
of K
Z Transform
Signal
Z Transform
Problems
Z
Transorm
Residue Theorem
Z Transform
Z Transform
Difference Equation
Z Transform
Convolution
Fourier Transform
vs Z Transform
768×1024
scribd.com
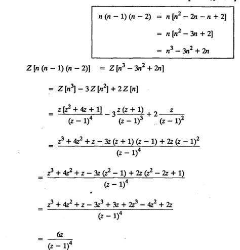
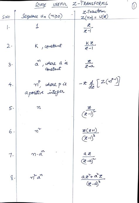
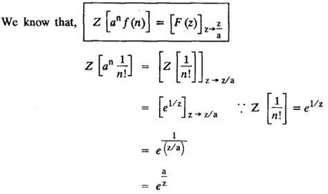
Z Transforms | PDF
652×132
chegg.com
Solved Use Z transforms to solve the recurrence relation | Chegg.com
695×1024
yawin.in
Z-Transforms – Yawin
1724×2560
yawin.in
Z-Transforms – Yawin
Related Products
Z Transform Formula S…
Z Transform Table
Inverse Z Transform …
700×470
chegg.com
Solved Using z-transforms to solve recurrences This proble…
410×99
byjus.com
Z transformation formula - Notation and Solved Examples
180×234
coursehero.com
Comprehensive Guide to z-Tra…
1024×768
SlideServe
PPT - Z Transforms PowerPoint Presentation, free download …
1024×768
SlideServe
PPT - Z Transforms PowerPoint Presentation, fre…
1024×768
SlideServe
PPT - Z Transforms PowerPoint Presentation, fre…
1024×768
SlideServe
PPT - Z Transforms PowerPoint Presentation, free download - ID:6734064
1024×768
SlideServe
PPT - Z Transforms PowerPoint Presentation, free download - ID:6734064
1619×2358
studypool.com
SOLUTION: Z transforms formul…
1024×768
SlideServe
PPT - Recap on Z-Transforms How to do Z-Transforms How to do inverse Z ...
Explore more searches like
Z-Transforms
Recurrence Formula
Zero-Order Hold
Difference Equation
Complex Numbers
Digital Control System
Sine Wave
Cos Theta
Geometric Series
What is
Exponential Function
Circuit Diagram
Images for PPT
Convolution Theorem
768×1024
Scribd
Difference Equations & Z …
320×240
slideshare.net
Z transforms and their applications | PPTX
519×541
brainkart.com
Z - Transforms and its Properties
2048×1536
slideshare.net
Z transforms and their applications | PPTX
530×544
mech.poriyaan.in
z - transforms - Applications, Elementary properties, Defini…
582×545
mech.poriyaan.in
z - transforms - Applications, Elementary properties, Definiti…
495×659
mech.poriyaan.in
z - transforms - Applications, Eleme…
494×430
mech.poriyaan.in
z - transforms - Applications, Elementary properties, Definition ...
545×554
mech.poriyaan.in
z - transforms - Applications, Elementary properties, Defi…
559×541
mech.poriyaan.in
z - transforms - Applications, Elementary properties, Definit…
552×487
mech.poriyaan.in
z - transforms - Applications, Elementary properties, Defin…
509×189
mech.poriyaan.in
z - transforms - Applications, Elementary properties, Definition ...
546×570
mech.poriyaan.in
z - transforms - Applications, Elementa…
476×282
mech.poriyaan.in
z - transforms - Applications, Elementary properties, Definition ...
462×438
mech.poriyaan.in
z - transforms - Applications, Elementary properties, Defi…
374×350
mech.poriyaan.in
z - transforms - Applications, Elementary properties, Defin…
467×444
mech.poriyaan.in
z - transforms - Applications, Elementary properties, Defi…
444×494
mech.poriyaan.in
z - transforms - Applications, Elementa…
494×398
mech.poriyaan.in
z - transforms - Applications, Elementary properties, Definition ...
People interested in
Z-Transforms
Recurrence Formula
also searched for
Long Division
Trigonometric Functions
Imaginary
Square
Control Systems
0
Graph 3D
VTU Formula Table
Abstract
Symbols
2
Tabel
485×458
mech.poriyaan.in
z - transforms - Applications, Elementary properties, Defini…
523×457
mech.poriyaan.in
z - transforms - Applications, Elementary properties, Definitio…
Some results have been hidden because they may be inaccessible to you.
Show inaccessible results
See more images
Recommended for you
Sponsored
Report an inappropriate content
Please select one of the options below.
Not Relevant
Offensive
Adult
Child Sexual Abuse
Feedback