The photos you provided may be used to improve Bing image processing services.
Privacy Policy
|
Terms of Use
Can't use this link. Check that your link starts with 'http://' or 'https://' to try again.
Unable to process this search. Please try a different image or keywords.
Try Visual Search
Search, identify objects and text, translate, or solve problems using an image
Drag one or more images here,
upload an image
or
open camera
Drop images here to start your search
To use Visual Search, enable the camera in this browser
All
Search
Images
Inspiration
Create
Collections
Videos
Maps
News
More
Shopping
Flights
Travel
Notebook
Top suggestions for Complex Power Square Root Formula
Complex Roots
Graph
Complex Roots
Example
Complex
Number Roots
Complex
Function Graph
Complex
Conjugate Theorem
Quadratic Graph
Roots
Complex Roots
Equation
Complex
Math
Complex
Quadratic Formula
Complex Roots
Solution
Real and
Complex Roots
What Are
Complex Roots
Cube Root
Equation
Cubic
Root Formula
Imaginary
Roots
Equation to Find
Roots
Finding Roots
of Polynomial
Quadratic Equation
Complex Numbers
Complex
Numbers Worksheet
Quadratic Formula
for Finding Roots
Complex
Numbers Powers
Non-Real
Complex Roots
Complex Square Root
Complex
Numbers Algebra
How to Graph Complex Numbers
Complex
Graph Equations
Repeated Real
Roots
Complex Roots
Calculator
Complex Roots
Diff EQ
2
Complex Roots
Simplifying Cube
Roots
Synthetic Division
Formula
Depressed Cubic
Formula
Solving Complex
Equations
Roots
of Unity
Solve Complex
Functions
Formula for Finding All
Complex Roots
Complex
Wuadratic Formula
Complex Roots
Ode Formula
Nature of Roots
of Quadratic Equation
Polynomial Factorization
Complex
Complex
Quadratic Form
Complex
Numbers Examples
Complex
Trigonometry
Complex Roots
Differential Equations
Double Root
Polynomial
Sum and Product of
Roots
Euler's Formula
Differential Equations
Complex Roots
On a Graph
Polynomial
Roots
Explore more searches like Complex Power Square Root Formula
XML
File
Linear
Approximation
Find
Out
How
Find
Quadratic
Equation
Anchor
Chain
Sample
Size
Changing
Subject
How
Write
For
10$
$248
Complex
Number
Statistics
How
Calculate
Fraction
Quantitative
Math
Solving Quadratic Equation
Extracting
Maths
Autoplay all GIFs
Change autoplay and other image settings here
Autoplay all GIFs
Flip the switch to turn them on
Autoplay GIFs
Image size
All
Small
Medium
Large
Extra large
At least... *
Customized Width
x
Customized Height
px
Please enter a number for Width and Height
Color
All
Color only
Black & white
Type
All
Photograph
Clipart
Line drawing
Animated GIF
Transparent
Layout
All
Square
Wide
Tall
People
All
Just faces
Head & shoulders
Date
All
Past 24 hours
Past week
Past month
Past year
License
All
All Creative Commons
Public domain
Free to share and use
Free to share and use commercially
Free to modify, share, and use
Free to modify, share, and use commercially
Learn more
Clear filters
SafeSearch:
Moderate
Strict
Moderate (default)
Off
Filter
Complex Roots
Graph
Complex Roots
Example
Complex
Number Roots
Complex
Function Graph
Complex
Conjugate Theorem
Quadratic Graph
Roots
Complex Roots
Equation
Complex
Math
Complex
Quadratic Formula
Complex Roots
Solution
Real and
Complex Roots
What Are
Complex Roots
Cube Root
Equation
Cubic
Root Formula
Imaginary
Roots
Equation to Find
Roots
Finding Roots
of Polynomial
Quadratic Equation
Complex Numbers
Complex
Numbers Worksheet
Quadratic Formula
for Finding Roots
Complex
Numbers Powers
Non-Real
Complex Roots
Complex Square Root
Complex
Numbers Algebra
How to Graph Complex Numbers
Complex
Graph Equations
Repeated Real
Roots
Complex Roots
Calculator
Complex Roots
Diff EQ
2
Complex Roots
Simplifying Cube
Roots
Synthetic Division
Formula
Depressed Cubic
Formula
Solving Complex
Equations
Roots
of Unity
Solve Complex
Functions
Formula for Finding All
Complex Roots
Complex
Wuadratic Formula
Complex Roots
Ode Formula
Nature of Roots
of Quadratic Equation
Polynomial Factorization
Complex
Complex
Quadratic Form
Complex
Numbers Examples
Complex
Trigonometry
Complex Roots
Differential Equations
Double Root
Polynomial
Sum and Product of
Roots
Euler's Formula
Differential Equations
Complex Roots
On a Graph
Polynomial
Roots
608×307
cuemath.com
Square Root Formula - What is Square Root Formula? Examples
501×451
squarerootof.net
Complex Numbers and Square Roots: An Overview
1747×1249
formulainmaths.in
Complex Number Formula » Formula In Maths
1748×1967
formulainmaths.in
Complex Number Formula » Formula I…
Related Products
Quadratic
Solve Quadratic Equations
Roots of Unity
1747×862
formulainmaths.in
Complex Number Formula » Formula In Maths
1747×636
formulainmaths.in
Complex Number Formula » Formula In Maths
1747×1306
formulainmaths.in
Complex Number Formula » Formula In Maths
1748×1762
formulainmaths.in
Complex Number Formula » Formula In …
1747×1381
formulainmaths.in
Complex Number Formula » Formula In Maths
332×58
redcrab-software.com
square root of complex number calculator and formula
1000×470
geeksforgeeks.org
Square Root of Complex Numbers | GeeksforGeeks
Explore more searches like
Complex Power
Square Root Formula
XML File
Linear Approximation
Find Out
How Find
Quadratic Equation
Anchor Chain
Sample Size
Changing Subject
How Write
For 10$
$248
Complex Number
835×290
cuemath.com
Square Root of Complex Number - Formula, Definition, Polar Form, Trick
1600×1157
dreamstime.com
Complex Math Learning and Formula on a Chalkboard S…
1200×628
testbook.com
Square Root of Complex Number: Definition, Formula & How to Find
1661×865
formulainmaths.in
Squares And Square Roots Formula For 8th Class » Formula In Maths
613×224
unacademy.com
Square root of a complex number: Cartesian form and polar form
350×350
www.teacherspayteachers.com
Radicals and Complex Numbers | Algebra II | …
388×355
researchgate.net
Complex plane of complex power | Download Scient…
1920×1080
exoaltcto.blob.core.windows.net
Pi Root Formula at Jeannine Giles blog
1024×768
SlideServe
PPT - Complex Power PowerPoint Presentation, free download - ID:29…
1280×800
pw.live
Square Root: Formulas, Solved Examples, How to Find Square Root
498×198
freeimages.com
Complex Power Free Vector Download | FreeImages
1849×1448
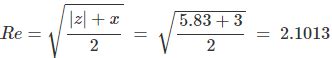
Stack Exchange
radicals - How do I get the square root of a complex number ...
1098×1153
Stack Exchange
radicals - How do I get the squar…
1398×777
Electrical Engineering Portal
What is the complex power and how it figures in power analysis | EEP
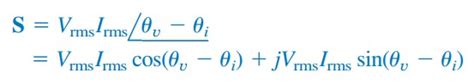
1334×185
Electrical Engineering Portal
What is the complex power and how it figures in power analysis | EEP
1334×173
Electrical Engineering Portal
What is the complex power and how it figures in power analysis | EEP
1334×196
Electrical Engineering Portal
What is the complex power and how it figures in power analysis | EEP
553×99
wiraelectrical.com
Definition Power Triangle and Complex Power AC Circuits | Wira Electrical
638×478
slideshare.net
Lecture 09 Complex Power.pdf | Science
750×1920
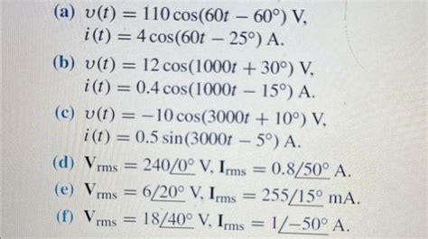
chegg.com
Solved Complex Power 9. Dete…
1920×941
chegg.com
Solved Find the complex power, the average power, and | Chegg.com
600×142
chegg.com
Solved Determine the complex power if S=600VA and Q=575VAR | Chegg.com
700×392
chegg.com
Solved 8.18 Determine the complex power, apparent power, | Chegg.com
1100×1112
savemyexams.com
Square Roots of Complex Numbers - A Level Maths …
Some results have been hidden because they may be inaccessible to you.
Show inaccessible results
Report an inappropriate content
Please select one of the options below.
Not Relevant
Offensive
Adult
Child Sexual Abuse
Feedback