The photos you provided may be used to improve Bing image processing services.
Privacy Policy
|
Terms of Use
Can't use this link. Check that your link starts with 'http://' or 'https://' to try again.
Unable to process this search. Please try a different image or keywords.
Try Visual Search
Search, identify objects and text, translate, or solve problems using an image
Drag one or more images here,
upload an image
or
open camera
Drop images here to start your search
To use Visual Search, enable the camera in this browser
All
Search
Images
Inspiration
Create
Collections
Videos
Maps
News
More
Shopping
Flights
Travel
Notebook
Top suggestions for Dynamic Load Identification
Dynamic Load
Test
What Is
Dynamic Load
Dynamic Load
Factor
Statical
Dynamic Load
Dynamic Load
Testing
Load Identification
Dynamic Load
Static Load
Dynamic Load
Examples
Dynamic Load
Effects
Dynamic Load
Specimen
Static Load
vs Dynamic Load
Calculate
Dynamic Load
Force of
Dynamic Load
What Is the Meaning
Dynamic Load
Architecture
Dynamic Loads
Dynamic Pile Load
Test
Dynamic Load
Graph
Dynamic Load
Sketch
Dynamic
Line Load
Dynamic Load
Machine
Dynamic Load
Construction
Lists of
Dynamic Load
Dynamic Load
Managment
Dynamic Load
Diagram
Static vs
Dynamic Load Bearing
Dynamic Load
Information
Wheel
Dynamic Load
Dynamic Load
Management
Dynamic Load
Data Loggers for Axles
Dynamic Load
Eg
Dynamic Load
Engineering
Pavement
Dynamic Load
Dynamic Load
French
Dynamic Load
Moment
Dynamic Load
by Vehicle
Dynamic Load
Allowance
Dynamic Load
Monitoring
Dynamic Load
Bridge
Dynamic Load
Structure
Dynamic Load
Test Table
Dynamic Load
Mechanical Part
Dynamic Load
Regulation
Dynamic Load
Definition
Dynamic
Balanceing Load
Dynamic Load
in Som Formulae
Dynamic Load
Strol Surepave
Dynamic
Axle Loads
Dynamic Load
Rating Catalog
Impact
Load Identification
Power
Load Identification
Explore more searches like Dynamic Load Identification
Management
Diagram
Simple
Diagram
Test
Report
What
is
Steel
Platform
Test
Video
Failure Theories
Graph
Electrical
Connections
What Is
Meaning
Vima
Machine
Vertical
Horizontal
Group
Logo
People interested in Dynamic Load Identification also searched for
What Is
Static
Management
System
Rating
Table
Train
Vehicles
Types
Formula
Definition
Drawing
Capacity
Calculation
Rating
How
Tie
Identification
Measurement
Bridge
Failure
Dynamic
Load Cell
Autoplay all GIFs
Change autoplay and other image settings here
Autoplay all GIFs
Flip the switch to turn them on
Autoplay GIFs
Image size
All
Small
Medium
Large
Extra large
At least... *
Customized Width
x
Customized Height
px
Please enter a number for Width and Height
Color
All
Color only
Black & white
Type
All
Photograph
Clipart
Line drawing
Animated GIF
Transparent
Layout
All
Square
Wide
Tall
People
All
Just faces
Head & shoulders
Date
All
Past 24 hours
Past week
Past month
Past year
License
All
All Creative Commons
Public domain
Free to share and use
Free to share and use commercially
Free to modify, share, and use
Free to modify, share, and use commercially
Learn more
Clear filters
SafeSearch:
Moderate
Strict
Moderate (default)
Off
Filter
Dynamic Load
Test
What Is
Dynamic Load
Dynamic Load
Factor
Statical
Dynamic Load
Dynamic Load
Testing
Load Identification
Dynamic Load
Static Load
Dynamic Load
Examples
Dynamic Load
Effects
Dynamic Load
Specimen
Static Load
vs Dynamic Load
Calculate
Dynamic Load
Force of
Dynamic Load
What Is the Meaning
Dynamic Load
Architecture
Dynamic Loads
Dynamic Pile Load
Test
Dynamic Load
Graph
Dynamic Load
Sketch
Dynamic
Line Load
Dynamic Load
Machine
Dynamic Load
Construction
Lists of
Dynamic Load
Dynamic Load
Managment
Dynamic Load
Diagram
Static vs
Dynamic Load Bearing
Dynamic Load
Information
Wheel
Dynamic Load
Dynamic Load
Management
Dynamic Load
Data Loggers for Axles
Dynamic Load
Eg
Dynamic Load
Engineering
Pavement
Dynamic Load
Dynamic Load
French
Dynamic Load
Moment
Dynamic Load
by Vehicle
Dynamic Load
Allowance
Dynamic Load
Monitoring
Dynamic Load
Bridge
Dynamic Load
Structure
Dynamic Load
Test Table
Dynamic Load
Mechanical Part
Dynamic Load
Regulation
Dynamic Load
Definition
Dynamic
Balanceing Load
Dynamic Load
in Som Formulae
Dynamic Load
Strol Surepave
Dynamic
Axle Loads
Dynamic Load
Rating Catalog
Impact
Load Identification
Power
Load Identification
600×290
researchgate.net
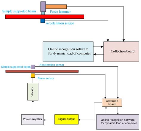
Load dynamic parameter identification system. | Download Scientific Diagram
850×582
researchgate.net
Schematic diagram of the distributed dynamic load identification ...
320×320
researchgate.net
Schematic diagram of the distributed dynamic load i…
320×320
researchgate.net
Schematic diagram of the distributed dynamic load i…
Related Products
Dynamic Load Cell
Dynamic Load Testing
Dynamic Load Balancing
850×1202
ResearchGate
(PDF) Dynamic load identificati…
850×461
researchgate.net
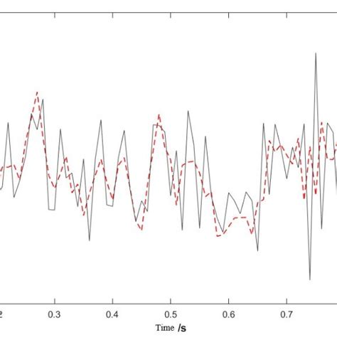
Load identification results. | Download Scientific Diagram
1024×1024
techmestuff.com
An Introduction to Dynamic Load Types an…
1024×1024
techmestuff.com
An Introduction to Dynamic Load Types an…
1024×1024
techmestuff.com
An Introduction to Dynamic Load Type…
850×1129
ResearchGate
(PDF) Dynamic Load Identifica…
850×488
researchgate.net
The test site of the dynamic load identification test. | Download ...
768×1024
dokumen.tips
(PDF) Power System Dyna…
620×1002
semanticscholar.org
Figure 1 from Dynamic Loa…
594×464
semanticscholar.org
Figure 8 from Dynamic Load Identification for Compresso…
Explore more searches like
Dynamic Load
Identification
Management Diagram
Simple Diagram
Test Report
What is
Steel Platform
Test Video
Failure Theories Graph
Electrical Connections
What Is Meaning
Vima Machine
Vertical Horizontal
Group Logo
494×434
semanticscholar.org
Figure 3 from Dynamic Load Ident…
690×448
semanticscholar.org
Figure 1 from Dynamic Load Identification for Compressor …
388×774
semanticscholar.org
Figure 5 from Dynamic Loa…
850×1202
researchgate.net
(PDF) Dynamic Load Identifica…
850×1203
researchgate.net
(PDF) An Efficient Metho…
1070×186
semanticscholar.org
Figure 1 from Dynamic Load Identification for Structures with Unknown ...
668×480
researchgate.net
Dynamic load identification of the propeller under 90 r/min. | Down…
731×201
researchgate.net
The results of load identification. | Download Scientific Diagram
850×394
researchgate.net
Load identification results from 0-1 s. | Download Scientific Diagram
320×320
researchgate.net
Load identification results from 0-1 s. | D…
580×580
researchgate.net
Load identification results from 0-1 s. | D…
850×1202
researchgate.net
(PDF) Dynamic Load Identifica…
850×1203
researchgate.net
(PDF) One Novel Dynami…
850×1202
researchgate.net
(PDF) Distributed Dy…
719×347
researchgate.net
Diagrammatic illustration of Dynamic Load source: Lecture note from ...
347×347
researchgate.net
Diagrammatic illustration of Dynami…
768×593
studylib.net
Dynamic Loads & Earthquake Engineering Lecture Notes
640×640
researchgate.net
Application of loads for dynamic analysis procedur…
901×1000
eureka.patsnap.com
Online structure and parameter identificatio…
3173×1733
mdpi.com
Real-Time Identification of Dynamic Loads Using Inverse Solution and ...
People interested in
Dynamic Load
Identification
also searched for
What Is Static
Management System
Rating Table
Train
Vehicles
Types
Formula
Definition
Drawing
Capacity
Calculation
Rating
1931×1804
mdpi.com
Real-Time Identification of Dynamic Loads Using Invers…
Some results have been hidden because they may be inaccessible to you.
Show inaccessible results
Report an inappropriate content
Please select one of the options below.
Not Relevant
Offensive
Adult
Child Sexual Abuse
Feedback