The photos you provided may be used to improve Bing image processing services.
Privacy Policy
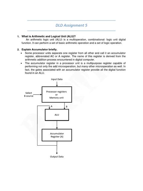
|
Terms of Use
Can't use this link. Check that your link starts with 'http://' or 'https://' to try again.
Unable to process this search. Please try a different image or keywords.
Try Visual Search
Search, identify objects and text, translate, or solve problems using an image
Drag one or more images here,
upload an image
or
open camera
Drop images here to start your search
To use Visual Search, enable the camera in this browser
All
Search
Images
Inspiration
Create
Collections
Videos
Maps
News
More
Shopping
Flights
Travel
Notebook
Top suggestions for DLD in Computer Science
Study
Computer Science
Computer Science
Department
Computer Science
Research
Nor
Computer Science
7 Gates of
DLD in Computer Science
Denary
Computer Science
Computer Science
Deparmtnet
Rcet
Computer Science
Dual Read
Computer Science
Department of Cumputer
Science
DLSU Toga
Computer Science
Dhsgsu
Computer Science
Div
Computer Science
KFUPM
Computer Science
Computer Science
Faculty of Herat University
Computer Science
Laboratory Mnual
Logic Design
in Computer Science
Digital Literacy
Computer Science
Computer Science
Lab Manual
Computer Science
Engineering DPS
Computer Science
Board Work
Computer Science
College Kfu
See Marks From Chapters of
Computer Science
Faisal Utd
Computer Science
UET KSK
Computer Science
Computer Science
Deparment Students
Co-Rider Board De Cration
Computer Science
UAEU Department of
Computer Science
UCI Department of
Computer Science
Department of
Computer Science UG
Declarative Language
Computer Science
Computer Science
Short Name DC's
Department of
Computer Science Pera
Computer Science
On Board in License
UCP Computer Science
Departments
Address of
Computer Sciences
Department of
Computer Science Du
UST Cut Off Mark for
Computer Science
Computer Science
Lab Manual Clip Art
FSC Computer Science
DMC
Howard Computer Science
Department
Heuristics Model
in Computer Science
Computer Science
University of Faisalabad
Department of Computer Science
and Applications
Adsv Computer Science
Lab Pentax
Department of
Computer Science Huddersfield
UOW Covocation 2021Wah
Computer Science
Program Chair of
Computer Science Department
Computer Science
University of Chittagong
Coal Subject
in Computer Science
Explore more searches like DLD in Computer Science
Campus
Map
Training
Poster
School
Logo
College
Football
Training
Board
Initial
Logo
Town
Center
Full
Form
Logo
png
All
Chips
Contract
Sample
Website
Logo
Property Viewing
Form
Title
Page
Contract
Agreement
En
Vivo
Kbra
Logo
Circuit
Board
Advice
Cards
Dubai
Logo
InfoGraphic
Cube
Logo
Thank
You
Project Cover
Page
Me
Logo
Contract
Logo
Edgar
Hansen
Creative
Projects
Ppt
Background
Circuit
Design
Digital Logic
Design
MI
Vida
Project Title
Page
Project
Proposal
Palacio De Los
Deportes
Chip
Design
Not
Operator
Econ
1
Computer
Science
Book
Cover
Day
POS
Definition
Project
For
Posters
For
Cantante
Slang
Mexico
Médical
Project
Ideas
People interested in DLD in Computer Science also searched for
Information
Sheet
Or
Function
Fechas
Gira
Course
Cantante
De
Pics
DLD
Conference
MI Vida
Acordes
PLA
250
2nd
Mini
Projects
202
Poster
Gene
Promotion
Autoplay all GIFs
Change autoplay and other image settings here
Autoplay all GIFs
Flip the switch to turn them on
Autoplay GIFs
Image size
All
Small
Medium
Large
Extra large
At least... *
Customized Width
x
Customized Height
px
Please enter a number for Width and Height
Color
All
Color only
Black & white
Type
All
Photograph
Clipart
Line drawing
Animated GIF
Transparent
Layout
All
Square
Wide
Tall
People
All
Just faces
Head & shoulders
Date
All
Past 24 hours
Past week
Past month
Past year
License
All
All Creative Commons
Public domain
Free to share and use
Free to share and use commercially
Free to modify, share, and use
Free to modify, share, and use commercially
Learn more
Clear filters
SafeSearch:
Moderate
Strict
Moderate (default)
Off
Filter
Study
Computer Science
Computer Science
Department
Computer Science
Research
Nor
Computer Science
7 Gates of
DLD in Computer Science
Denary
Computer Science
Computer Science
Deparmtnet
Rcet
Computer Science
Dual Read
Computer Science
Department of Cumputer
Science
DLSU Toga
Computer Science
Dhsgsu
Computer Science
Div
Computer Science
KFUPM
Computer Science
Computer Science
Faculty of Herat University
Computer Science
Laboratory Mnual
Logic Design
in Computer Science
Digital Literacy
Computer Science
Computer Science
Lab Manual
Computer Science
Engineering DPS
Computer Science
Board Work
Computer Science
College Kfu
See Marks From Chapters of
Computer Science
Faisal Utd
Computer Science
UET KSK
Computer Science
Computer Science
Deparment Students
Co-Rider Board De Cration
Computer Science
UAEU Department of
Computer Science
UCI Department of
Computer Science
Department of
Computer Science UG
Declarative Language
Computer Science
Computer Science
Short Name DC's
Department of
Computer Science Pera
Computer Science
On Board in License
UCP Computer Science
Departments
Address of
Computer Sciences
Department of
Computer Science Du
UST Cut Off Mark for
Computer Science
Computer Science
Lab Manual Clip Art
FSC Computer Science
DMC
Howard Computer Science
Department
Heuristics Model
in Computer Science
Computer Science
University of Faisalabad
Department of Computer Science
and Applications
Adsv Computer Science
Lab Pentax
Department of
Computer Science Huddersfield
UOW Covocation 2021Wah
Computer Science
Program Chair of
Computer Science Department
Computer Science
University of Chittagong
Coal Subject
in Computer Science
768×1024
scribd.com
DLD Computer Science Lecture 1 | Download Free …
768×1024
scribd.com
DLD NOTES | PDF | Computer Data Storage | Co…
768×1024
scribd.com
DLD contents | PDF | Logic Gate | Computer Science
768×1024
scribd.com
DLD Lecture #03 | PDF | Digital Signal | Analogue Ele…
768×1024
scribd.com
lab 6 dld | PDF | Logic Gate | Computer Science
768×1024
scribd.com
DLD Module 2-Combinatinal Circuit Design Lecture-6 | P…
480×267
fcoe.edu.pk
DLD Lab – Fazaia College of Education For Women
1140×637
theinnovator.news
Key Takeaways From DLD Circular And DLD AI - The I…
1200×1698
studocu.com
DLD LAB MID 21052020 080436 pm - Bahria Universi…
768×1024
scribd.com
DLD - Digital Logic Design | PDF | Digital Signal | Analog…
768×1024
scribd.com
DLD Notes | PDF | Analogue Electronics | Binary Coded …
768×1024
scribd.com
DLD Lab#14 | PDF | Computing | Computer Scie…
768×1024
scribd.com
DLD Unit-3 | PDF | Logic Gate | Electronic Circuits
768×1024
scribd.com
DLD (Unit-02) Part-01 | PDF | Mathematics | Theoretical C…
730×547
dokumen.tips
(PPT) DLD and Computer Science - DOKUMEN.TIPS
1200×1698
studocu.com
DLD CS 2020 - bznzndbz - Computer science - Studocu
Related Searches
Training
Board
DLD
DLD
Initial
Logo
DLD
Town
Center
DLD
Full
Form
768×1024
scribd.com
DLD - Lecture | PDF | Digital Signal | Logic Gate
768×1024
scribd.com
DLD Assignment | PDF | Computer Science | Arithmetic
Related Searches
DLD
Campus
Map
DLD
Training
Poster
DLD
School
Logo
DLD
College
Football
768×1024
scribd.com
DLD II-I | PDF | Logic Gate | Computer Engineering
768×1024
scribd.com
DLD Lecture 1 - (Digital Systems & Binary Numbers…
768×1024
scribd.com
DLD Computer Science Lecture 2 | PDF | Boolean Al…
768×1024
scribd.com
DLD | PDF
768×1024
scribd.com
Dld | PDF | Subtraction | Digital Electronics
768×1024
scribd.com
DLD Lab#07 | PDF | Logic | Mathematical Logic
768×1024
scribd.com
DLD lAB FINAL | PDF | Logic Gate | Theoretical Compute…
768×1024
scribd.com
Final DLD Lab Manual | PDF | Logic Gate | Computer Engi…
768×1024
scribd.com
DLD Lab Report 08 | PDF | Arithmetic | Computer Science
2048×2896
slideshare.net
DLD Project Proposal(Computer Science…
1200×1553
studocu.com
Nabiha dld report final dld - Computer science Submitte…
Related Products
Books
Digital Logic Design Book
T-Shirts
Hoodies
768×1024
scribd.com
DLD Lab | PDF | Logic Gate | Mathematical Logic
768×1024
scribd.com
DLD State Diagram | PDF | Digital Technology | Theoret…
768×1024
scribd.com
DLD Lab -01 | PDF
768×1024
scribd.com
Question Bank - DLD - DSD | PDF | Logic Gate | Theoretic…
Related Searches
DLD
Information
Sheet
Or
Function
in
DLD
DLD
Fechas
Gira
DLD
Course
300×424
studocu.com
DLD CS 2020 - bznzndbz - Computer science - Studocu
1024×580
thedldproject.com
DLD Training - The DLD Project
Some results have been hidden because they may be inaccessible to you.
Show inaccessible results
Report an inappropriate content
Please select one of the options below.
Not Relevant
Offensive
Adult
Child Sexual Abuse
Feedback