The photos you provided may be used to improve Bing image processing services.
Privacy Policy
|
Terms of Use
Can't use this link. Check that your link starts with 'http://' or 'https://' to try again.
Unable to process this search. Please try a different image or keywords.
Try Visual Search
Search, identify objects and text, translate, or solve problems using an image
Drag one or more images here,
upload an image
or
open camera
Drop images here to start your search
To use Visual Search, enable the camera in this browser
All
Search
Images
Inspiration
Create
Collections
Videos
Maps
News
More
Shopping
Flights
Travel
Notebook
Top suggestions for Error Vector Linear Algebra
Linear Algebra
Proofs
Linear Algebra
Matrices
Linear Combination
Linear Algebra
Linear Algebra Vector
Multiplication
Subspace
Linear Algebra
Linear Vector
Space
Examples of
Linear Algebra
Vector Spaces
Linear Algebra
Vector Notation
Linear Algebra
Transformation
Linear Algebra
Span
Linear Algebra
Plane
Linear Algebra
Vector
Lineal
Linear Algebra Vectors
and Matrices
Unit
Vector Linear Algebra
Linear Algebra
Geometric
Basis
Vectors
Zero
Vector Linear Algebra
Matrix Equation
Linear Algebra
Linear Algebra
Dot Product
Vector Addition
Linear Algebra
Algebraic
Vectors
Linear Algebra
College
Vector Symbol
Linear Algebra
Vector
in Math
Linear Algebra
Coordinate Vector
Vector
Space Axioms
Linear Algebra
Magnitude
Dimension
Linear Algebra
E
Vector Linear Algebra
Linearly Independent
Vectors
Graph
Linear Algebra Vectors
Linear Algebra
Formulas
Linearly Dependent
Vectors
Column
Vector Linear Algebra
Vector Linear
Form
Linear Algebra
Equation Sheet
2
Vectors Linear Algebra
Unique
Vector Linear Algebra
Linear Algebra Vectors
RN
Linear Algebra Vectors
in Brain
Linear
Dependence Vectors
Lines and
Vectors
Vector
Geometry and Linear Algebra
Linear Algebra
Cheat Sheet
What Is a Linear Combination
Linear Algebra
Textbook
Linear Algebra
Book
Linear
Programming Vectors
Vectorial
Space
Explore more searches like Error Vector Linear Algebra
Different
Types
What
is
What Is
Binary
Complex
Conjugate
Equation
Formula
What Is
Standard
Clip
Art
Standard
Space
Dot
Product
State
What Is
Unit
Basic
Example
Maps
Icon
Oliver
Knill
Form
For
Autoplay all GIFs
Change autoplay and other image settings here
Autoplay all GIFs
Flip the switch to turn them on
Autoplay GIFs
Image size
All
Small
Medium
Large
Extra large
At least... *
Customized Width
x
Customized Height
px
Please enter a number for Width and Height
Color
All
Color only
Black & white
Type
All
Photograph
Clipart
Line drawing
Animated GIF
Transparent
Layout
All
Square
Wide
Tall
People
All
Just faces
Head & shoulders
Date
All
Past 24 hours
Past week
Past month
Past year
License
All
All Creative Commons
Public domain
Free to share and use
Free to share and use commercially
Free to modify, share, and use
Free to modify, share, and use commercially
Learn more
Clear filters
SafeSearch:
Moderate
Strict
Moderate (default)
Off
Filter
Linear Algebra
Proofs
Linear Algebra
Matrices
Linear Combination
Linear Algebra
Linear Algebra Vector
Multiplication
Subspace
Linear Algebra
Linear Vector
Space
Examples of
Linear Algebra
Vector Spaces
Linear Algebra
Vector Notation
Linear Algebra
Transformation
Linear Algebra
Span
Linear Algebra
Plane
Linear Algebra
Vector
Lineal
Linear Algebra Vectors
and Matrices
Unit
Vector Linear Algebra
Linear Algebra
Geometric
Basis
Vectors
Zero
Vector Linear Algebra
Matrix Equation
Linear Algebra
Linear Algebra
Dot Product
Vector Addition
Linear Algebra
Algebraic
Vectors
Linear Algebra
College
Vector Symbol
Linear Algebra
Vector
in Math
Linear Algebra
Coordinate Vector
Vector
Space Axioms
Linear Algebra
Magnitude
Dimension
Linear Algebra
E
Vector Linear Algebra
Linearly Independent
Vectors
Graph
Linear Algebra Vectors
Linear Algebra
Formulas
Linearly Dependent
Vectors
Column
Vector Linear Algebra
Vector Linear
Form
Linear Algebra
Equation Sheet
2
Vectors Linear Algebra
Unique
Vector Linear Algebra
Linear Algebra Vectors
RN
Linear Algebra Vectors
in Brain
Linear
Dependence Vectors
Lines and
Vectors
Vector
Geometry and Linear Algebra
Linear Algebra
Cheat Sheet
What Is a Linear Combination
Linear Algebra
Textbook
Linear Algebra
Book
Linear
Programming Vectors
Vectorial
Space
640×360
slideshare.net
Problem on Vector Linear Algebra: Vector Algebra Identity | PPTX
2048×1152
slideshare.net
Problem on Vector Linear Algebra: Vector Algebra Identity | PPTX
2048×1152
slideshare.net
Problem on Vector Linear Algebra: Vector Algebra Identity | PPTX
2048×1152
slideshare.net
Problem on Vector Linear Algebra: Vector Algebra Identity | PPTX
Related Products
Linear Algebra Textbook
Calculus Book
Introduction To
2048×1152
slideshare.net
Problem on Vector Linear Algebra: Vector Algebra Identity | PPTX
2048×1536
slideshare.net
1639 vector-linear algebra | PPT
2048×1536
slideshare.net
1639 vector-linear algebra | PPT
638×359
slideshare.net
Problem on Vector Linear Algebra: Vector Algebra Identity | PPT
1400×356
medium.com
Linear Algebra Crash Course 2— Vector Algebra | by NumberBasher | Aug ...
1400×1213
medium.com
Linear Algebra Crash Course 2— Vector Algebr…
Explore more searches like
Error
Vector Linear Algebra
Different Types
What is
What Is Binary
Complex Conjugate
Equation Formula
What Is Standard
Clip Art
Standard
Space
Dot Product
State
What Is Unit
1400×970
medium.com
Linear Algebra Crash Course 2— Vector Algebra | by NumberBas…
1400×464
medium.com
Linear Algebra Crash Course 2— Vector Algebra | by NumberBasher | Aug ...
640×595
www.reddit.com
What did I do wrong? (Vector equation) : r/Li…
1080×617
towardsdatascience.com
Linear Algebra: Euclidean Vector Space | by Chao De-Yu | Towards Data ...
811×212
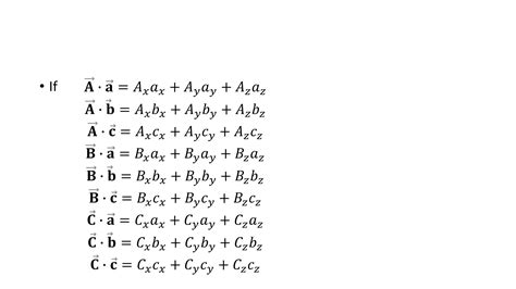
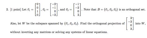
chegg.com
Solved Linear Algebra Problem 2. Let Vector v1 =[] ,Vector | Chegg.com
350×350
www.teacherspayteachers.com
Algebra 1 - Writing Linear Functions Err…
819×460
chegg.com
Solved Math Linear Algebra : Error-Detecting and | Chegg.com
1212×605
chanys.github.io
Linear Algebra – Yee Seng Chan – Writings on AI, ML, NLP and Large ...
1200×628
codanics.com
Vectors in Linear Algebra: A Comprehensive Guide - Codanics
746×494
researchgate.net
Estimates of the linear Vector Error Correction Models | Dow…
850×264
researchgate.net
A, Voltage error vector and current error vector direction in space ...
1358×911
medium.com
Linear Algebra: General Vector Space | by Chao De-Yu | Analytics Vidhya ...
270×350
www.teacherspayteachers.com
Algebra 1 - Writing Linear Function…
270×350
www.teacherspayteachers.com
Algebra 1 - Writing Linear Function…
568×394
researchgate.net
Vector error correction model. | Download Scientific Diagram
320×320
researchgate.net
Vector error correction model. | Download Scie…
850×455
researchgate.net
Diagram of error-vector resultant. (A) The error-vector Eij between ...
572×479
researchgate.net
Error vector magnitude. | Download Scientific Diagram
850×698
researchgate.net
Vector Error Correction Estimates | Download Scientific Diagram
850×687
researchgate.net
Error vector E i and error vector angle | Download Scientific Diag…
850×212
researchgate.net
Vector Error Correction Output | Download Scientific Diagram
639×639
researchgate.net
2: Vector Error Correction Mechan…
850×195
researchgate.net
Vector Error Correction Model Result | Download Scientific Diagram
768×448
researchgate.net
Estimating Vector Error correction model. | Download Scientific Diagram
850×104
researchgate.net
Vector error correction model estimates | Download Scientific Diagram
Some results have been hidden because they may be inaccessible to you.
Show inaccessible results
Report an inappropriate content
Please select one of the options below.
Not Relevant
Offensive
Adult
Child Sexual Abuse
Feedback