The photos you provided may be used to improve Bing image processing services.
Privacy Policy
|
Terms of Use
Can't use this link. Check that your link starts with 'http://' or 'https://' to try again.
Unable to process this search. Please try a different image or keywords.
Try Visual Search
Search, identify objects and text, translate, or solve problems using an image
Drag one or more images here,
upload an image
or
open camera
Drop images here to start your search
To use Visual Search, enable the camera in this browser
All
Search
Images
Inspiration
Create
Collections
Videos
Maps
News
More
Shopping
Flights
Travel
Notebook
Top suggestions for PD Control System Design
PID Control
Graph
PID Motor
Control
PD Control
Circuit
PID Control
Equation
PID
MATLAB
PD Control
Diagram
PID Control
Meaning
PD Control System
PD Control
Theory
PID Controller
Circuit
PID Control
Loop
PID Controller
Design
Controlador
PID
PID
Overshoot
PID Controller Block
Diagram
PD
vs PID
Pneumatic PID
Controller
PD Control
Unit
PD Control
Law
Proportional Control PD
Controller
PI
Controller
PID
Algorithm
PID Controller
Tuning
PID Temperature
Controller
Anti-Windup
PID
PID Control
Response
P
Controller
Types of PID
Controller
USB PD
Controller
PD Control
Steps Response
PID
Definition
Integral
Controller
Derivative
Control
PID Transfer
Function
Impedence
Control PD
PS
Control PD
Human Control
and PD
Propotional
Control
PD Control
Block Simulink
Feedforward PID
Control
PID Position
Control
ABB
PD Control
PID Controller
Example
Example of Control
Message in PD
Example of Control
Message NPD
Proportional
Gain
What PD Control
in Robotics
PFD
Controller
PD Control
Jittery Movement
PD
Controller La Place
Explore more searches like PD Control System Design
Beauty
Logo
New
Logo
Cartoon
Logo
Text
Logo
Swish
Logo
Technical Services
Logo
Letter
Logo
Gold
Logo
Styles
Logo
Litchen
Door
People interested in PD Control System Design also searched for
Quality
Management
Engineering
4K
Oil Collection
Device
TextBook
Projects
Expert
Vehicle
Card
Access
Techniques
How
Liquid
Workflow
TechKnowledge
Book
Book Indian
Author
Examples
Book Ramesh
Babu
Background
Evaluation
Software
Autoplay all GIFs
Change autoplay and other image settings here
Autoplay all GIFs
Flip the switch to turn them on
Autoplay GIFs
Image size
All
Small
Medium
Large
Extra large
At least... *
Customized Width
x
Customized Height
px
Please enter a number for Width and Height
Color
All
Color only
Black & white
Type
All
Photograph
Clipart
Line drawing
Animated GIF
Transparent
Layout
All
Square
Wide
Tall
People
All
Just faces
Head & shoulders
Date
All
Past 24 hours
Past week
Past month
Past year
License
All
All Creative Commons
Public domain
Free to share and use
Free to share and use commercially
Free to modify, share, and use
Free to modify, share, and use commercially
Learn more
Clear filters
SafeSearch:
Moderate
Strict
Moderate (default)
Off
Filter
PID Control
Graph
PID Motor
Control
PD Control
Circuit
PID Control
Equation
PID
MATLAB
PD Control
Diagram
PID Control
Meaning
PD Control System
PD Control
Theory
PID Controller
Circuit
PID Control
Loop
PID Controller
Design
Controlador
PID
PID
Overshoot
PID Controller Block
Diagram
PD
vs PID
Pneumatic PID
Controller
PD Control
Unit
PD Control
Law
Proportional Control PD
Controller
PI
Controller
PID
Algorithm
PID Controller
Tuning
PID Temperature
Controller
Anti-Windup
PID
PID Control
Response
P
Controller
Types of PID
Controller
USB PD
Controller
PD Control
Steps Response
PID
Definition
Integral
Controller
Derivative
Control
PID Transfer
Function
Impedence
Control PD
PS
Control PD
Human Control
and PD
Propotional
Control
PD Control
Block Simulink
Feedforward PID
Control
PID Position
Control
ABB
PD Control
PID Controller
Example
Example of Control
Message in PD
Example of Control
Message NPD
Proportional
Gain
What PD Control
in Robotics
PFD
Controller
PD Control
Jittery Movement
PD
Controller La Place
1024×348
Chegg
Solved Design of system with PD controller A control system | Chegg.com
1030×654
chegg.com
Solved For the following control system: Design the PD | Chegg.com
584×460
researchgate.net
PD control -system output | Download Scientific Diagram
658×456
Chegg
You are going to design a PD controller for a | Chegg.com
Related Products
PID Controller Design
Police Traffic Control
PID Motor Control
400×260
adtrontechnologies.com
Proportional Derivative ( PD ) Control System Trainer – Adtron Technolog…
960×540
chegg.com
Solved Problem 4 PD CONTROL DESIGN Given: a second-order | Chegg.com
832×328
researchgate.net
PD-PD control configuration of the system. | Download Scientific Diagram
837×433
researchgate.net
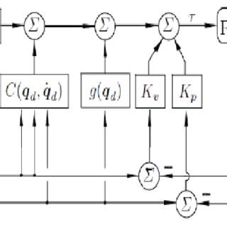
Block diagram of PD control system | Download Scientific Diagram
320×320
researchgate.net
Block diagram of PD control system | Do…
320×320
researchgate.net
Block diagram of PD control system | Do…
614×646
electricalandcontrol.com
Features of Proportional plus D…
333×83
researchgate.net
Classic PD control system | Download Scientific Diagram
Explore more searches like
PD
Control System
Design
Beauty Logo
New Logo
Cartoon Logo
Text Logo
Swish Logo
Technical Services Logo
Letter Logo
Gold Logo
Styles Logo
Litchen Door
688×484
chegg.com
PD Control 1. Compute the values of the PD control | Chegg.com
500×321
Embedded
The basics of control system design: Part 6 - Tuning PID+ and PD ...
500×416
Embedded
The basics of control system design: Part 6 - Tuning PID…
1569×625
chegg.com
2. Design a control system using a PD: A. Using Fig. | Chegg.com
900×481
chegg.com
Solved Design Project #1: Design of PD Controller Consider | Chegg.com
850×173
researchgate.net
Conventional PD control system with deadzone | Download Scientific Diagram
367×367
researchgate.net
Conventional PD control system with deadzone | …
850×1202
researchgate.net
(PDF) Design and optimization of …
1382×248
chegg.com
Solved It is desired to design a PD control for a DC motor | Chegg.com
700×374
chegg.com
Problem 1. Design a PD-Type control system for a | Chegg.com
600×198
researchgate.net
Block diagram of the PD control system. | Download Scientific Diagram
803×280
chegg.com
2) For the following system, design a PD controller | Chegg.com
850×264
researchgate.net
System with PD controller | Download Scientific Diagram
850×260
researchgate.net
PD control system principle block diagram 4. Simulation In this ...
People interested in
PD
Control System Design
also searched for
Quality Management
Engineering 4K
Oil Collection Device
TextBook
Projects
Expert
Vehicle
Card Access
Techniques
How
Liquid
Workflow
320×320
researchgate.net
PD control system principle block diagram …
373×300
indiamart.com
Proportional Derivative (PD) Control System TLC013 at bes…
1024×616
Chegg
Solved In lecture, we have discussed a traditional PD | Chegg.com
850×300
ResearchGate
Block Diagram of PD Control | Download Scientific Diagram
850×388
ResearchGate
Block diagram of PD-PI control system. | Download Scientific Diagram
700×362
chegg.com
Solved PD Control Design a proportional-derivative | Chegg.com
1338×932
chegg.com
Solved For the system given on above, design a PD contr…
600×193
researchgate.net
Block diagram of the PD control system implemented. | Download ...
193×193
researchgate.net
Block diagram of the PD control system i…
Some results have been hidden because they may be inaccessible to you.
Show inaccessible results
Report an inappropriate content
Please select one of the options below.
Not Relevant
Offensive
Adult
Child Sexual Abuse
Feedback