The photos you provided may be used to improve Bing image processing services.
Privacy Policy
|
Terms of Use
Can't use this link. Check that your link starts with 'http://' or 'https://' to try again.
Unable to process this search. Please try a different image or keywords.
Try Visual Search
Search, identify objects and text, translate, or solve problems using an image
Drag one or more images here,
upload an image
or
open camera
Drop images here to start your search
To use Visual Search, enable the camera in this browser
All
Search
Images
Inspiration
Create
Collections
Videos
Maps
News
More
Shopping
Flights
Travel
Notebook
Top suggestions for Substitution Proof Examples
Proof Examples
Examples
of Substitution
Substitution
Property Example
Substitution
Geometry Proof
Two-Column
Proof Worksheet
Geometry
Proofs Examples
Mathematical Proof
Writing Examples
Algebraic
Substitution Examples
Example Proofs
Geomotry
Substitution
Angles
Types of Angle
Proof
Easy Two-Column
Proofs
Substitutional Property
Examples
Examples of Substitution
in Algebra
Structure of
Proof Geometry
Substitution
Theorem
Algebraic Substitution Examples
Year 7
Rhythmeic
Substituion
Substitution
and Elimaintaiton Chart
Examples
of Formal Proofs
Inverse Substitution
Theorem
Algebraic Substitution Examples
Year 08
Geometry Proof
of an Angle Being 90 Degrees
Substitution
Property of Equality for Angles
Vertical Angles Theorem
Proof
Examples by Substitution
Non Linear Algebra Easy Example
Math
Proofs Examples
Geometric
Proofs Examples
Universal Nintro
Proof Examples
Two-Column
Proof
Formal Math
Proof Example
Proof
Reasons Geometry
Examples
of the Substitution Method
Types of Angle
Proofs
Example of Substitution
Property of Equality
Castc Geomatry
Proofs
Mathematical Proof
Statement Example
Examples by Substitution
Non Linear Algebra Easy Example High School
Explore more searches like Substitution Proof Examples
Reaction
Mechanism
Proof
Examples
Algebra
2
Algebra
1
Elimination
Table
Worksheet.pdf
Elimination
Chart
Math
Worksheets
Equations
Worksheet
Mutation
Drawing
Purple Disco
Machine
Linear
Equations
Math Problems
Worksheet
Clip
Art
Linear Equations
Examples
Gene
Mutation
Grade 5 Math
Worksheets
Simultaneous Quadretic
Equations
Chemical
Reaction
Football
Property
Example
Substitution
Reaction
Jutsu
Trig
Synthetic
Math Worksheets
Answers
Cartoon
Free
Radical
Nucleophilic
Theorem
Chemical
Worksheet
Year 7
Nucleotide
People interested in Substitution Proof Examples also searched for
Geometry
Examples
Nucleophilic
Aromatic
Algebra
Equations
Isomorphous
Tri-Tone
Basketball
Isomorphic
Elimination
Reactions
New Version
Autoplay all GIFs
Change autoplay and other image settings here
Autoplay all GIFs
Flip the switch to turn them on
Autoplay GIFs
Image size
All
Small
Medium
Large
Extra large
At least... *
Customized Width
x
Customized Height
px
Please enter a number for Width and Height
Color
All
Color only
Black & white
Type
All
Photograph
Clipart
Line drawing
Animated GIF
Transparent
Layout
All
Square
Wide
Tall
People
All
Just faces
Head & shoulders
Date
All
Past 24 hours
Past week
Past month
Past year
License
All
All Creative Commons
Public domain
Free to share and use
Free to share and use commercially
Free to modify, share, and use
Free to modify, share, and use commercially
Learn more
Clear filters
SafeSearch:
Moderate
Strict
Moderate (default)
Off
Filter
Proof Examples
Examples
of Substitution
Substitution
Property Example
Substitution
Geometry Proof
Two-Column
Proof Worksheet
Geometry
Proofs Examples
Mathematical Proof
Writing Examples
Algebraic
Substitution Examples
Example Proofs
Geomotry
Substitution
Angles
Types of Angle
Proof
Easy Two-Column
Proofs
Substitutional Property
Examples
Examples of Substitution
in Algebra
Structure of
Proof Geometry
Substitution
Theorem
Algebraic Substitution Examples
Year 7
Rhythmeic
Substituion
Substitution
and Elimaintaiton Chart
Examples
of Formal Proofs
Inverse Substitution
Theorem
Algebraic Substitution Examples
Year 08
Geometry Proof
of an Angle Being 90 Degrees
Substitution
Property of Equality for Angles
Vertical Angles Theorem
Proof
Examples by Substitution
Non Linear Algebra Easy Example
Math
Proofs Examples
Geometric
Proofs Examples
Universal Nintro
Proof Examples
Two-Column
Proof
Formal Math
Proof Example
Proof
Reasons Geometry
Examples
of the Substitution Method
Types of Angle
Proofs
Example of Substitution
Property of Equality
Castc Geomatry
Proofs
Mathematical Proof
Statement Example
Examples by Substitution
Non Linear Algebra Easy Example High School
New Version
🎉
What's new
You're invited to try a new version of Image Search, switch to view.
640×640
researchgate.net
Proof substitution. | Download Scientific Diagr…
562×533
onlinemath4all.com
Substitution Method Examples
3952×2784
math.stackexchange.com
logic - A lemma for substitution theorem proof - Mathematics Stack Exchange
1275×1668
studypool.com
SOLUTION: substitution metho…
Related Products
Substitution Ciphers Examples
Hill Cipher Example
Rail Fence Cipher
1275×1668
studypool.com
SOLUTION: substitution m…
1386×363
Stack Exchange
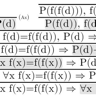
logic - Proof about substitution in well-formed formulas. - Mathematics ...
3024×4032
Stack Exchange
indefinite integrals - Re…
480×300
elprocus.com
Substitution Theorem : Working, Examples & Its Applications
395×295
elprocus.com
Substitution Theorem : Working, Examples & Its Applications
2:57
study.com
Substitution Property | Definition & Examples
2:57
study.com
Substitution Property | Definition & Examples
1024×512
storyofmathematics.com
Substitution | Definition & Meaning
Explore more searches like
Substitution
Proof Examples
Reaction Mechanism
Proof Examples
Algebra 2
Algebra 1
Elimination Table
Worksheet.pdf
Elimination Chart
Math Worksheets
Equations Worksheet
Mutation Drawing
Purple Disco Machine
Linear Equations
1024×512
storyofmathematics.com
Substitution | Definition & Meaning
593×717
math.stackexchange.com
algebra precalculus - How to solve a …
3780×1965
storyofmathematics.com
Substitution Method Algebra - Step-by-Step Examples and Solved Problems
1024×805
storyofmathematics.com
Substitution Method Algebra - Step-by-Step Examples and S…
1024×381
trigidentities.net
Trig Substitution Integration with Examples
1280×720
lisaworksheets.com
Worksheet Substitution Method - Free Worksheets Printable
2560×1920
SlideServe
PPT - Substitution Method PowerPoint Presentation, free dow…
728×546
fity.club
Substitution Property
482×300
testbook.com
Solve Equations using Substitution Method with Examples
1200×628
testbook.com
Solve Equations using Substitution Method with Examples
1080×334
chegg.com
Solved 4. Use substitution and the table of logical | Chegg.com
1800×450
leanfirststeps.blogspot.com
Lean: First Steps: 02 - Substitution
638×479
fity.club
Substitution Property Of Equality Equality Math | TPT
850×198
ResearchGate
Applying the substitution rule in a proof: before (top) and after ...
People interested in
Substitution
Proof Examples
also searched for
Geometry Examples
Nucleophilic Aromatic
Algebra Equations
Isomorphous
Tri-Tone
Basketball
Isomorphic
Elimination Reactions
314×314
ResearchGate
Applying the substitution rule in a proof: before (top…
225×225
ResearchGate
Applying the substitution rule in a proof: before …
184×184
ResearchGate
Applying the substitution rule in a …
569×569
ResearchGate
Applying the substitution rule in a proof: before (top…
540×410
passyworldofmathematics.com
Algebra Substitution – Positive Numbers | Passy's World of Mathematics
849×258
chegg.com
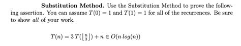
Solved Use the Substitution Method to prove that problem is | Chegg.com
1312×252
chegg.com
Solved Substitution Method. Use the Substitution Method to | Chegg.com
13:25
calcworkshop.com
Properties of Equality
1024×580
thirdspacelearning.com
Substitution - Elementary Math - Steps, Examples & Questions
Some results have been hidden because they may be inaccessible to you.
Show inaccessible results
Report an inappropriate content
Please select one of the options below.
Not Relevant
Offensive
Adult
Child Sexual Abuse
Feedback