The photos you provided may be used to improve Bing image processing services.
Privacy Policy
|
Terms of Use
Can't use this link. Check that your link starts with 'http://' or 'https://' to try again.
Unable to process this search. Please try a different image or keywords.
Try Visual Search
Search, identify objects and text, translate, or solve problems using an image
Drag one or more images here,
upload an image
or
open camera
Drop images here to start your search
To use Visual Search, enable the camera in this browser
All
Search
Images
Inspiration
Create
Collections
Videos
Maps
News
More
Shopping
Flights
Travel
Notebook
Top suggestions for Error Function of Infinity
Complementary
Error Function
Error Function
Formula
Derivative
of Error Function
Error Function
Graph
Gaussian
Error Function
Error Function
Table
Error Function
Integral
Definition
of Error Function
What Is
Error Function
Differentiation
of Error Function
Erf
Function
Error Function
Math
Error Function
Chart
How to Solve
Error Function
Infinity
vs Error
Error Function
Plot
Error Function
Meaning
Table of Error Function
Values
Infinity Function
Norm
Erf
X
Error Function
Grapher
Complex
Error Function
Error Function
Series Expansion
Imaginary
Error Function
Function
Approach to Error
Integration
of Error Function
Error Function
Examples
Error Function
On a Calculator
Role of
the Error Function
Error Function
for MFSK
Error Function
Material Science Table
Approximation for the
Error Function
Error of a Function
in Power
Error Function
Plane
Double
Error Function
Error Function
Calculator Input
Semi Infinate
Error Function Thermodyanmics
Error Function of
Concentration
Tabulation of Error Function
Values
Error Function
Represented As
Integral of Exponential Function
From 0 to Infinity for Error Fucntion
Gaussian Error Function
as an Infinite Series
Error Function
Complement
Error Function
Main Application
What Function Is the Opposite
of Error Function
Diffrential
Error Function
Deifnition of
the Error Function
Error Function
Table for N
Integral of
Complimentary Error Function
Complmentary
Error Function
Explore more searches like Error Function of Infinity
Laplace
Transform
Machine
Learning
Heat Transfer
Equation
Normal Distribution
CDF
Heat
Transfer
Cross-Entropy
Differential
Equations
Gaussian
Integral
Logistic
Regression
Table
Calculator
Integral
Table
Table
For
Calc
2
Neural
Network
Forms
Main
Example
Properties
E2
Pi
2
Def
MATLAB
Mathematica
Algebra
Application
Isnumeric
Exercises
C++
People interested in Error Function of Infinity also searched for
Integral
Identities
What Is
Definition
Erf
Table
Ber
Exponential
Plotting
Erfc
Calculator
EJ Is
Not
How
Graph
What Is
Inverse
Gradient
Diffusion
Formula
Controlling
Definition
New Version
Autoplay all GIFs
Change autoplay and other image settings here
Autoplay all GIFs
Flip the switch to turn them on
Autoplay GIFs
Image size
All
Small
Medium
Large
Extra large
At least... *
Customized Width
x
Customized Height
px
Please enter a number for Width and Height
Color
All
Color only
Black & white
Type
All
Photograph
Clipart
Line drawing
Animated GIF
Transparent
Layout
All
Square
Wide
Tall
People
All
Just faces
Head & shoulders
Date
All
Past 24 hours
Past week
Past month
Past year
License
All
All Creative Commons
Public domain
Free to share and use
Free to share and use commercially
Free to modify, share, and use
Free to modify, share, and use commercially
Learn more
Clear filters
SafeSearch:
Moderate
Strict
Moderate (default)
Off
Filter
Complementary
Error Function
Error Function
Formula
Derivative
of Error Function
Error Function
Graph
Gaussian
Error Function
Error Function
Table
Error Function
Integral
Definition
of Error Function
What Is
Error Function
Differentiation
of Error Function
Erf
Function
Error Function
Math
Error Function
Chart
How to Solve
Error Function
Infinity
vs Error
Error Function
Plot
Error Function
Meaning
Table of Error Function
Values
Infinity Function
Norm
Erf
X
Error Function
Grapher
Complex
Error Function
Error Function
Series Expansion
Imaginary
Error Function
Function
Approach to Error
Integration
of Error Function
Error Function
Examples
Error Function
On a Calculator
Role of
the Error Function
Error Function
for MFSK
Error Function
Material Science Table
Approximation for the
Error Function
Error of a Function
in Power
Error Function
Plane
Double
Error Function
Error Function
Calculator Input
Semi Infinate
Error Function Thermodyanmics
Error Function of
Concentration
Tabulation of Error Function
Values
Error Function
Represented As
Integral of Exponential Function
From 0 to Infinity for Error Fucntion
Gaussian Error Function
as an Infinite Series
Error Function
Complement
Error Function
Main Application
What Function Is the Opposite
of Error Function
Diffrential
Error Function
Deifnition of
the Error Function
Error Function
Table for N
Integral of
Complimentary Error Function
Complmentary
Error Function
New Version
🎉
What's new
You're invited to try a new version of Image Search, switch to view.
750×525
alchetron.com
Error function - Alchetron, The Free Social Encyclopedia
435×463
mathematica.stackexchange.com
Strange behavior of error function series expansion a…
850×859
researchgate.net
The error function, the absolute of error function, the correcte…
450×300
Wikipedia
Error function - Wikipedia
Related Products
Error Function Table
Complemen…
Inverse Error Function
440×395
Wikipedia
Error function - Wikipedia
250×191
Wikipedia
Error function - Wikipedia
768×1024
Scribd
Error Function.sfe | …
300×250
math.stackexchange.com
calculus - How to find the asymptotic expan…
850×331
researchgate.net
The error in the infinity norm as a function of the degrees of freedom ...
850×877
researchgate.net
The error function, the absolute of error function…
320×320
researchgate.net
The global error in the infinity norm as a functio…
850×870
researchgate.net
The error function, the absolute of error function…
850×850
researchgate.net
The error function, the absolute of error function…
850×568
researchgate.net
The global error in the infinity norm as a function of the time step ...
Explore more searches like
Error Function
of Infinity
Laplace Transform
Machine Learning
Heat Transfer Equation
Normal Distribution
…
Heat Transfer
Cross-Entropy
Differential Equations
Gaussian Integral
Logistic Regression
Table Calculator
Integral Table
Table For
1456×1252
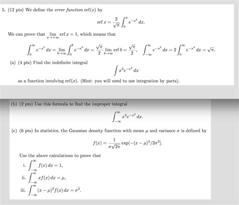
chegg.com
Solved We define the error function erf(x) by We can prove | Chegg.com
600×420
Wikimedia
File:Error Function Generalised.svg - Wikimedia Commons
353×353
dev.ncalculators.com
Error Function Calculator
773×546
chegg.com
Solved Error equation. The error function is defined as | Chegg.com
733×579
toolgir.ru
Calculate the error function
640×360
pinecalculator.com
Error Function Calculator - Find the Error Function in Just 1 Click!
901×1060
chegg.com
Solved Problem 3:The error function and so…
581×390
researchgate.net
The error function. | Download Scientific Diagram
400×280
thinkcalculator.com
Error Function Calculator
320×320
researchgate.net
Infinity error norm k E h k 1 | Download Scientific Diagram
850×528
researchgate.net
The error function for Example 4.1 | Download Scientific Diagram
320×320
researchgate.net
The error function for Example 4.1 | Download Scientific Dia…
660×521
researchgate.net
Infinity error norm k E h k 1 | Download Scientific Diagram
850×458
researchgate.net
(a) Error and (b) Residual error infinity norms for f (η) and θ(η ...
320×320
researchgate.net
(a) Error and (b) Residual error infinity norms for f (η…
558×414
math.stackexchange.com
calculus - Limit of an error function - Mathematics Stack Exchange
People interested in
Error Function
of Infinity
also searched for
Integral Identities
What Is Definition
Erf Table
Ber
Exponential
Plotting
Erfc
Calculator
EJ Is Not
How Graph
What Is Inverse
Gradient
640×640
researchgate.net
(a) Error and (b) Residual error infinity norms for f (η) and θ(η ...
827×641
researchgate.net
Basic behavior of error function | Download Scientific Diagram
464×464
researchgate.net
(a) Error function for Example 4. (b) Error function at t = 0.5 for ...
600×464
researchgate.net
(a) Error function for Example 4. (b) Error function at t = 0.5 for ...
642×817
ResearchGate
The infinity norm of error functions for dif…
Some results have been hidden because they may be inaccessible to you.
Show inaccessible results
See more images
Recommended for you
Sponsored
Report an inappropriate content
Please select one of the options below.
Not Relevant
Offensive
Adult
Child Sexual Abuse
Feedback