The photos you provided may be used to improve Bing image processing services.
Privacy Policy
|
Terms of Use
Can't use this link. Check that your link starts with 'http://' or 'https://' to try again.
Unable to process this search. Please try a different image or keywords.
Try Visual Search
Search, identify objects and text, translate, or solve problems using an image
Drag one or more images here,
upload an image
or
open camera
Drop images here to start your search
To use Visual Search, enable the camera in this browser
All
Search
Images
Inspiration
Create
Collections
Videos
Maps
News
More
Shopping
Flights
Travel
Notebook
Top suggestions for IUP Lesson Plan Example
Lesson Plan Examples
College
Lesson Plan
Outline
Direct Instruction
Lesson Plan Examples
School
Lesson Plan
Lesson Plan
Layout
Lesson Plan
Template
Integrated
Lesson Plan
Sample
Lesson Plan
Lesson Plan
Format Examples
Science
Lesson Plan Examples
Education Lesson Plan
Template
Completed
Lesson Plan Example
Simple
Lesson Plan Examples
Preschool
Lesson Plan Examples
Blank Lesson Plan
Template
Differentiated
Lesson Plan
Lesson Plan
Sample PDF
Basic Lesson Plan
Sample
Lesson Plan
Template Word
Activity Lesson Plan
Template
Lesson Plan
Design
Sample Infant
Lesson Plans
Writing Lesson Plan
Objectives Examples
Elementary Lesson Plan
Template
5E
Lesson Plan
Lesson Plan
Reflection
Art Teacher
Lesson Plan Template
Ubd
Lesson Plan
Detailed
Lesson Plan
Lesson Plan
Template Printable Word
Blank Monthly
Lesson Plan Template
Sample Unit
Lesson Plan
English
Lesson Plan Examples
Short Lesson Plan
Template
Music Lesson Plan
Template
After School
Lesson Plans
Free Lesson Plan
Template Elementary
Guided Reading
Lesson Plan
Lesson Plan Examples
High School
Annotated Lesson Plan
Samples
Individual Lesson Plan
Template
Creative Curriculum
Lesson Plan Template
Common Core
Lesson Plan Template
Weekly Lesson Plan
Template
4 a
Lesson Plan
Training Lesson Plan
Template
Daily Lesson Plan
Format
Lesson Plan
Structure
Speech Therapy
Lesson Plan Template
Free Printable Editable
Lesson Plan Template
Explore more searches like IUP Lesson Plan Example
Thematic
Unit
Middle School
History
High School
History
2nd Grade
Math
Kentucky Early Childhood
Education
1st
Grade
Integrated
Syntax
5E
Bloom
Taxonomy
WGU
Title
Management
Preschool Lesson
Plan Examples
Bible
Math
ELL
For
History
Visual
Learning
Fire
Instructor
TEFL
Primary
School
People interested in IUP Lesson Plan Example also searched for
Football
Helmet
Football
Field
Acceptance
Rate
Main Campus
Map
Athletics
Logo
Police
Academy
Computer
Science
Marching Band
Logo
Soccer
Logo
Parking
Garage
Marching Band
Camp
Football Logo
PNG
Wood
Design
College
Students
Wood
Grain
Current
Logo
College
Tour
Library
Pics
Football Helmet
Logo
Talon
Logo
Graphic
Design
Logo
Border
Flag
ClipArt
Oak
Grove
Tech
Logo
Men
Basketball
Basketball
Arena
Legend
Logo
Baseball Logo
Transparent
Football
Jersey
Official
Logo
Logo Clip
Art
University
Logo
Seal
Logo
Dining
Hall
Logo.svg
Clip
Art
Cute
Icons
Football
Logo
Sigma
Chi
Northpointe Industrial
Park
Football
Stadium
Math
Logo
Interactive
Map
Tyann
Bell
Student
Club
Basketball
Logo
Indiana University
Pennsylvania
FB
Logo
Soccer
Field
Autoplay all GIFs
Change autoplay and other image settings here
Autoplay all GIFs
Flip the switch to turn them on
Autoplay GIFs
Image size
All
Small
Medium
Large
Extra large
At least... *
Customized Width
x
Customized Height
px
Please enter a number for Width and Height
Color
All
Color only
Black & white
Type
All
Photograph
Clipart
Line drawing
Animated GIF
Transparent
Layout
All
Square
Wide
Tall
People
All
Just faces
Head & shoulders
Date
All
Past 24 hours
Past week
Past month
Past year
License
All
All Creative Commons
Public domain
Free to share and use
Free to share and use commercially
Free to modify, share, and use
Free to modify, share, and use commercially
Learn more
Clear filters
SafeSearch:
Moderate
Strict
Moderate (default)
Off
Filter
Lesson Plan Examples
College
Lesson Plan
Outline
Direct Instruction
Lesson Plan Examples
School
Lesson Plan
Lesson Plan
Layout
Lesson Plan
Template
Integrated
Lesson Plan
Sample
Lesson Plan
Lesson Plan
Format Examples
Science
Lesson Plan Examples
Education Lesson Plan
Template
Completed
Lesson Plan Example
Simple
Lesson Plan Examples
Preschool
Lesson Plan Examples
Blank Lesson Plan
Template
Differentiated
Lesson Plan
Lesson Plan
Sample PDF
Basic Lesson Plan
Sample
Lesson Plan
Template Word
Activity Lesson Plan
Template
Lesson Plan
Design
Sample Infant
Lesson Plans
Writing Lesson Plan
Objectives Examples
Elementary Lesson Plan
Template
5E
Lesson Plan
Lesson Plan
Reflection
Art Teacher
Lesson Plan Template
Ubd
Lesson Plan
Detailed
Lesson Plan
Lesson Plan
Template Printable Word
Blank Monthly
Lesson Plan Template
Sample Unit
Lesson Plan
English
Lesson Plan Examples
Short Lesson Plan
Template
Music Lesson Plan
Template
After School
Lesson Plans
Free Lesson Plan
Template Elementary
Guided Reading
Lesson Plan
Lesson Plan Examples
High School
Annotated Lesson Plan
Samples
Individual Lesson Plan
Template
Creative Curriculum
Lesson Plan Template
Common Core
Lesson Plan Template
Weekly Lesson Plan
Template
4 a
Lesson Plan
Training Lesson Plan
Template
Daily Lesson Plan
Format
Lesson Plan
Structure
Speech Therapy
Lesson Plan Template
Free Printable Editable
Lesson Plan Template
768×1024
scribd.com
Ipg Lesson Plan | PDF
768×1024
scribd.com
Lesson Plan in Iphp | PDF | Science & Mathematics
768×1024
scribd.com
Instructional Plans, Year Plan, Unit Plan, Lesson Plan | PD…
768×1024
scribd.com
1 - Ipp Lesson Plan - With Guide | PDF | Curriculum | L…
1020×1320
docslib.org
Example Of IEP/Lesson Plan Activity - DocsLib
816×1056
venngage.com
Lesson Plan Example - Venngage
180×234
coursehero.com
Lesson Plan Format.doc - IUP Daily Lesson Plan Format I. …
768×1024
scribd.com
Lesson Plan Ipg | PDF
768×1024
scribd.com
IPED Lesson Plan | PDF
768×1024
scribd.com
Iped Learner Lesson Plan | PDF | Learning | Persuasion
600×776
academia.edu
(DOC) IUP Daily Lesson Plan Format
1200×630
www.iup.edu
Distance Education at IUP - IUP
1200×1553
worksheetshq.com
Example Of A Detailed Lesson Plan
180×233
coursehero.com
IUP Project - Final .pdf - EDUC 673 UNIT PLAN UNI…
980×500
thepenn.org
IUP updating its 2011 master plan, original vision downsc…
180×234
coursehero.com
Lesson Plan Format.doc - IUP Daily Lesson Plan Format I. …
768×1024
scribd.com
Ipg Lesson Plan | PDF | Texas | Lesson Plan
768×1024
scribd.com
IUM Lesson Plan Sample | PDF
Related Searches
Thematic
Unit
Lesson Plan
Examples
Lesson Plan
Examples
Middle
School
History
High
School
History
Lesson Plan
Examples
2nd
Grade
Math
Lesson Plan
Examples
180×234
coursehero.com
IUP Lesson Plan format.doc - ECSP Daily Lesson Plan Fo…
768×1024
scribd.com
Iup. Lesson 1 | PDF | Java (Software Platform) | Java (…
737×491
www.iup.edu
IUP to Begin New Academic Year with Student Success I…
768×1024
scribd.com
Iep Lesson Plan | PDF | Essays | Lesson Plan
180×234
coursehero.com
LESSON PLAN 3 LA IUP.docx - Lesson Plan Name:Allyso…
768×1024
scribd.com
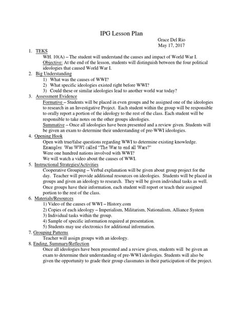
Ipg Lesson Plan | PDF | Lesson Plan | Ideologies
768×1024
scribd.com
Co Lesson Plan Ia | PDF
768×1024
scribd.com
Annotated-Iupui Lesson Plan Template | PDF | Adverb | N…
768×1024
scribd.com
Edu 412 2021-09-01 IPED Lesson Plan Template | PD…
180×234
coursehero.com
IUP 2 lesson plans.docx - EDUC 675 INTEGRATED U…
Related Searches
IUP
Football
Helmet
IUP
Football
Field
IUP
Acceptance
Rate
IUP
Main
Campus
Map
180×234
coursehero.com
IUP Project - Shared Document.pdf - EDUC 673 …
Related Searches
Kentucky
Early
Childhood
Education
Lesson Plan
Examples
1st
Grade
Lesson Plan
Examples
Integrated
Lesson Plan
Examples
Examples
of
Syntax
in
5E
Lesson Plan
Related Products
Math Lesson Plan Examples
Science Lesson Plan Examples
English Lesson Plan Examples
Art Lesson Plan Examples
768×1024
scribd.com
Kpup Lesson Plan in Testing and Teaching Literature (Sa…
768×1024
scribd.com
Aip Lesson Plan 1 | PDF | Singing | Communication
768×1024
scribd.com
Sample Lesson Plan - Ip Integration | PDF | Educatio…
768×1024
scribd.com
VIII ICP LESSON PLAN UNIT 1 EiN SO THAT TO MAKE …
1414×2000
templates.upein.edu.pe
Example Of Lesson Plan For Teaching English - Free Prin…
768×1024
scribd.com
Unit 2 IPP Plan 2017 FINAL | PDF
Some results have been hidden because they may be inaccessible to you.
Show inaccessible results
Report an inappropriate content
Please select one of the options below.
Not Relevant
Offensive
Adult
Child Sexual Abuse
Feedback