The photos you provided may be used to improve Bing image processing services.
Privacy Policy
|
Terms of Use
Can't use this link. Check that your link starts with 'http://' or 'https://' to try again.
Unable to process this search. Please try a different image or keywords.
Try Visual Search
Search, identify objects and text, translate, or solve problems using an image
Drag one or more images here,
upload an image
or
open camera
Drop images here to start your search
To use Visual Search, enable the camera in this browser
All
Search
Images
Inspiration
Create
Collections
Videos
Maps
News
More
Shopping
Flights
Travel
Notebook
Top suggestions for Linear Matrix Vector Form
Vector in
Matrix Form
Linear Matrix
Matrix of Linear
Transformation
Linear
Equation Matrix
Linear Regression
Matrix Form
Vector
vs Matrix
Matrix Equation Linear
Algebra
Matrix
Times a Vector
Linear
Combination Matrix
Unit
Vector Matrix
Matrix-Vector
Product
Parametric
Vector Form
Matrix Linear
Equation Form 5
Linear
System Matrix
Matrix-Vector
Multiplication
What Is a
Vector Form
Matrix
Multiplied by Vector
Machine Learning
Matrix Vector
Matrix-Vector
Multiplaicaton
Mesh Matrix-Vector
PNG
Pametric
Vector Form
Dot Product
Matrix and Vector
3 by 3
Matrix Linear Alg
Vector/Matrix
Graphics
Quadratic Form Linear
Algebra
Vector
as Matrix
Column Vector Linear
Algebra
Matrix-Vector
Product Slides Linear Algebra
Multiply Matrix
and Vector
Inner Product of
Matrix and Vector
Matrix-Vector
Stencil
Vector Form
for a Matrix
Matrix and Inverse Matrix
in Vector Space
Matrix
Writing Vector
Matrix That Form
Line vs Plane
Matrix Vector Form
of Chemical Reaction
3X3 Matrix
Quadratic Form
Matrix
Solution in Vector Form
Vector Rotation Matrix
3D
Matrix Products Linear
Algebra
Multiplying a Matrix
and a Vector
Matrix Linear
Algebra Examples
Matrix
Math of Linear Vectors
Augmented Matrix
Solution Vector
General Solution in
Vector Form
Linear
Program I Matrix
Drawing Matrix-Vector
Products
Two Vector
Representation of 2X2 Matrix
Linear Algebra Matrix
Separator
Solve Equation
Matrix Form 5
Explore more searches like Linear Matrix Vector Form
Regression
Model
Algebra
Concepts
VectorForm
Equation
Formula
Large
Size
Algebra
Visualized
Independence
Exercise
Algebra
Rotary
Wide
Storage
Method
Model
Inequality
Inequalities
Transformation
Map
Form
Transform
Diagram
Algebra
Illustration
People interested in Linear Matrix Vector Form also searched for
vs
Nonlinear
Transformation
Reflection
Unique
Solution
Function
Algebra
Equations
Components
Equations Examples Forming
Rectangular
Relationships
Examples
Visualizing
Solutions
Control
Systems
Autoplay all GIFs
Change autoplay and other image settings here
Autoplay all GIFs
Flip the switch to turn them on
Autoplay GIFs
Image size
All
Small
Medium
Large
Extra large
At least... *
Customized Width
x
Customized Height
px
Please enter a number for Width and Height
Color
All
Color only
Black & white
Type
All
Photograph
Clipart
Line drawing
Animated GIF
Transparent
Layout
All
Square
Wide
Tall
People
All
Just faces
Head & shoulders
Date
All
Past 24 hours
Past week
Past month
Past year
License
All
All Creative Commons
Public domain
Free to share and use
Free to share and use commercially
Free to modify, share, and use
Free to modify, share, and use commercially
Learn more
Clear filters
SafeSearch:
Moderate
Strict
Moderate (default)
Off
Filter
Vector in
Matrix Form
Linear Matrix
Matrix of Linear
Transformation
Linear
Equation Matrix
Linear Regression
Matrix Form
Vector
vs Matrix
Matrix Equation Linear
Algebra
Matrix
Times a Vector
Linear
Combination Matrix
Unit
Vector Matrix
Matrix-Vector
Product
Parametric
Vector Form
Matrix Linear
Equation Form 5
Linear
System Matrix
Matrix-Vector
Multiplication
What Is a
Vector Form
Matrix
Multiplied by Vector
Machine Learning
Matrix Vector
Matrix-Vector
Multiplaicaton
Mesh Matrix-Vector
PNG
Pametric
Vector Form
Dot Product
Matrix and Vector
3 by 3
Matrix Linear Alg
Vector/Matrix
Graphics
Quadratic Form Linear
Algebra
Vector
as Matrix
Column Vector Linear
Algebra
Matrix-Vector
Product Slides Linear Algebra
Multiply Matrix
and Vector
Inner Product of
Matrix and Vector
Matrix-Vector
Stencil
Vector Form
for a Matrix
Matrix and Inverse Matrix
in Vector Space
Matrix
Writing Vector
Matrix That Form
Line vs Plane
Matrix Vector Form
of Chemical Reaction
3X3 Matrix
Quadratic Form
Matrix
Solution in Vector Form
Vector Rotation Matrix
3D
Matrix Products Linear
Algebra
Multiplying a Matrix
and a Vector
Matrix Linear
Algebra Examples
Matrix
Math of Linear Vectors
Augmented Matrix
Solution Vector
General Solution in
Vector Form
Linear
Program I Matrix
Drawing Matrix-Vector
Products
Two Vector
Representation of 2X2 Matrix
Linear Algebra Matrix
Separator
Solve Equation
Matrix Form 5
768×1024
scribd.com
Linear Algebra. Matrices Vectors D…
768×1024
scribd.com
Lecture 1 (Linear Algebra) | PDF | Ma…
771×465
chegg.com
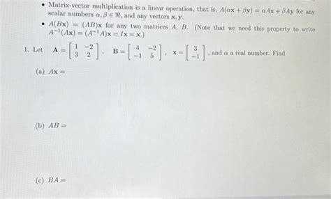
Solved Matrix/Vector Multiplication: A matrix, A, can be | Chegg.com
768×1024
scribd.com
Matrix Vector Form | PDF | Eigenvalues …
Related Products
Multiplication
Formulas
Algebra Basics
668×668
chegg.com
Linear Algebra\\n(a) Write in matrix/vector form, | Cheg…
2048×1536
slideshare.net
Linear algebra and Vector | PPT
720×540
slidetodoc.com
Systems of Linear Equations in Vector Form Prepared
720×540
slidetodoc.com
Systems of Linear Equations in Vector Form Prepared
1000×602
hirevar.weebly.com
Solve matrix vector equation matlab - hirevar
2142×1286
fity.club
Vector Space Linear Algebra Examples
1148×728
Stack Exchange
linear algebra - Identifying matrix vector multiplication - Mathematic…
3077×1475
www.reddit.com
Question about the interpretation of matrix-vector multiplication as a ...
Explore more searches like
Linear Matrix
Vector Form
Regression Model
Algebra Concepts
VectorForm
Equation Formula
Large Size
Algebra Visualized
Independence
Exercise
Algebra
Rotary
Wide
Storage
605×502
www.reddit.com
Question about the interpretation of matrix-vecto…
700×423
chegg.com
Solved - Matrix-vector multiplication is a linear operation, | Chegg.com
700×489
chegg.com
Solved - Matrix-vector multiplication is a linear operation, | Chegg.com
2048×1536
slideshare.net
Linear Algebra and Matrix | PPT
2048×1536
slideshare.net
Linear Algebra and Matrix | PPT
2048×1536
slideshare.net
Linear Algebra and Matrix | PPT
2048×1536
slideshare.net
Linear Algebra and Matrix | PPT
2048×1536
slideshare.net
Linear Algebra and Matrix | PPT
2048×1536
slideshare.net
Linear Algebra and Matrix | PPT
2048×1536
slideshare.net
Linear Algebra and Matrix | PPT
768×1024
scribd.com
Linear Models and Matrix Algebra | PD…
899×631
Chegg
Solved Find the parametric vector form of the solution of | Chegg.com
1024×768
SlideShare
Linear Algebra and Matrix
1240×1754
studypool.com
SOLUTION: Algebra matrix ve…
1240×1754
studypool.com
SOLUTION: Algebra matrix ve…
1240×1754
studypool.com
SOLUTION: Algebra matrix ve…
750×422
studybullet.com
Master Linear Algebra (Matrices, Vector Spaces, Numerical ...
People interested in
Linear Matrix
Vector Form
also searched for
vs Nonlinear
Transformation Reflection
Unique Solution
Function
Algebra Equations
Components
Equations Examples Fo
…
Relationships Examples
Visualizing Solutions
Control Systems
1024×768
SlideServe
PPT - LINEAR MODELS AND MATRIX ALGEBRA PowerPoint Presentation, fre…
800×537
Chegg
Solved vl, v2, v3 n1 393 as a matrix times a vector. | Chegg.com
1358×1315
towardsdatascience.com
Linear Algebra 4: Matrix Equations | by tenzin m…
1185×411
math.stackexchange.com
linear algebra - showing the vector form of the solution - Mathematics ...
1620×1215
studypool.com
SOLUTION: Linear algebric equations and matrices matrix multiplication ...
1024×768
SlideServe
PPT - Part B. Linear Algebra, Vector Calculus Chap. 6: Linear Algebra ...
Some results have been hidden because they may be inaccessible to you.
Show inaccessible results
See more images
Recommended for you
Sponsored
Report an inappropriate content
Please select one of the options below.
Not Relevant
Offensive
Adult
Child Sexual Abuse
Feedback