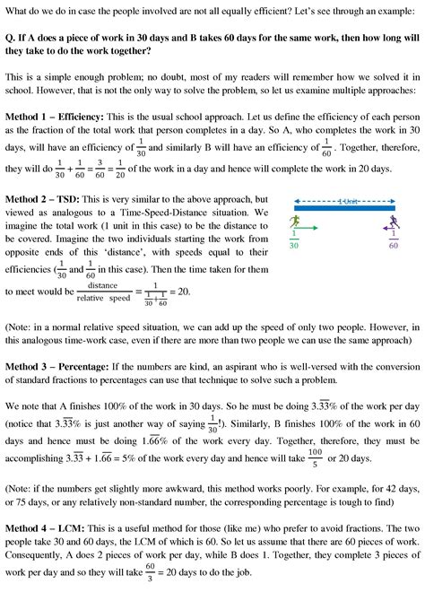
The photos you provided may be used to improve Bing image processing services.
Privacy Policy
|
Terms of Use
Can't use this link. Check that your link starts with 'http://' or 'https://' to try again.
Unable to process this search. Please try a different image or keywords.
Try Visual Search
Search, identify objects and text, translate, or solve problems using an image
Drag one or more images here,
upload an image
or
open camera
Drop images here to start your search
To use Visual Search, enable the camera in this browser
All
Search
Images
Inspiration
Create
Collections
Videos
Maps
News
More
Shopping
Flights
Travel
Notebook
Top suggestions for Work Time Formula
Work Time
Power Formula
Work Rate
Time Formula
Time and Work Formula
Sheet
Work Time
Efficiency Formula
Work
Done Fórmula
Time and Work
Basic Formula
Work Done and
Time Taken Formula
Work Formula
Using Time
Work Time Formula
Physics
Quant Work
and Time Formula
Work
Calculation Formula
Work Time
Excel
Formula for Work
Content Time
MDH Formula in
Time and Work
Chain Rule
Formula Time and Work
Time and Work Formula
Book
Formula Sheet for Time
and Work Reasoning
Time and Work Formula
for Together Work
Time ADN
Work Formula
Work Time
Equations
Time and Work
Cheat Sheet
Time and Work Formula
with Example
Excel Time
Card Calculator
Time and Work
Questions
Work Time
Sto
Work Time
St
Time and Work
Types and Formula
Time and Work
Problems
Together Will Do the
Work Formula in Time and Work
Work Formula Time
Me Bers
Time and Work
Basic Formula Wjth Efficiency
A and B
Work Time Formula
Work and Time Formula
Tricks
Available
Work Time Formula
What the
Formula for Work
Man
Work Formula
Work Formula
for a Moment
Work
Hours Calculator
Time Work
Realtion
Work Formula
Related to Time
Time and Work Formula
Traiin
How to Calculate
Work Formula
Concept of
Time and Work
Work Upon Time
Kiska Formula Hai
Formula for Work
with Respect to Time
Work Formula
for Better Work
Power Work Time Formula
Worksheet
Men Women and Children
Formula for Time and Work
Work Formula
in Office
Rate Force Does
Work Formula
Explore more searches like Work Time Formula
Done
Vector
Calc
3
Calculus
2
Dot
Product
Mechanical
Energy
Math
Problems
Kinetic
Energy
Force
Distance
Pressure-Volume
Power
Physics
Dot Product
Physics
Physics
Math
What
is
Angle
Calculus
Combined
Vectors
Time
Power
Example
Calculation
Average
Done Adiabatic
Process
Done Class
9
Physics
Angle
Autoplay all GIFs
Change autoplay and other image settings here
Autoplay all GIFs
Flip the switch to turn them on
Autoplay GIFs
Image size
All
Small
Medium
Large
Extra large
At least... *
Customized Width
x
Customized Height
px
Please enter a number for Width and Height
Color
All
Color only
Black & white
Type
All
Photograph
Clipart
Line drawing
Animated GIF
Transparent
Layout
All
Square
Wide
Tall
People
All
Just faces
Head & shoulders
Date
All
Past 24 hours
Past week
Past month
Past year
License
All
All Creative Commons
Public domain
Free to share and use
Free to share and use commercially
Free to modify, share, and use
Free to modify, share, and use commercially
Learn more
Clear filters
SafeSearch:
Moderate
Strict
Moderate (default)
Off
Filter
Work Time
Power Formula
Work Rate
Time Formula
Time and Work Formula
Sheet
Work Time
Efficiency Formula
Work
Done Fórmula
Time and Work
Basic Formula
Work Done and
Time Taken Formula
Work Formula
Using Time
Work Time Formula
Physics
Quant Work
and Time Formula
Work
Calculation Formula
Work Time
Excel
Formula for Work
Content Time
MDH Formula in
Time and Work
Chain Rule
Formula Time and Work
Time and Work Formula
Book
Formula Sheet for Time
and Work Reasoning
Time and Work Formula
for Together Work
Time ADN
Work Formula
Work Time
Equations
Time and Work
Cheat Sheet
Time and Work Formula
with Example
Excel Time
Card Calculator
Time and Work
Questions
Work Time
Sto
Work Time
St
Time and Work
Types and Formula
Time and Work
Problems
Together Will Do the
Work Formula in Time and Work
Work Formula Time
Me Bers
Time and Work
Basic Formula Wjth Efficiency
A and B
Work Time Formula
Work and Time Formula
Tricks
Available
Work Time Formula
What the
Formula for Work
Man
Work Formula
Work Formula
for a Moment
Work
Hours Calculator
Time Work
Realtion
Work Formula
Related to Time
Time and Work Formula
Traiin
How to Calculate
Work Formula
Concept of
Time and Work
Work Upon Time
Kiska Formula Hai
Formula for Work
with Respect to Time
Work Formula
for Better Work
Power Work Time Formula
Worksheet
Men Women and Children
Formula for Time and Work
Work Formula
in Office
Rate Force Does
Work Formula
768×1024
scribd.com
Time&Work-03 | PDF
768×1024
scribd.com
Time and Work | PDF | Algebra | Mathema…
768×1024
scribd.com
Time and Work-Stdnt | PDF | Teaching Met…
768×1024
scribd.com
Time and Work | PDF | Equations | Teachi…
Related Products
Pomodoro Technique Timer
Productivity Planner Pad
Weekly Work Schedule Template
1747×2120
formulainmaths.in
Time And Work Formula For 8th Class » Formu…
500×500
vedantu.com
Time and Work Formulae | Learn and Solve Questions
500×500
vedantu.com
Time and Work Formulae | Learn and Solve Questions
473×383
vedantu.com
Work Time Formula: Concepts, Tricks & Solved Examples
420×320
vedantu.com
Work Time Formula: Concepts, Tricks & Solved Examples
335×408
vedantu.com
Work Time Formula: Conc…
200×200
crestolympiads.com
Time and Work for Class 1 Not…
200×200
crestolympiads.com
Time and Work for Class 1 Not…
800×985
in.pinterest.com
Maths Shortcuts: Work and Tim…
1200×405
guidely.in
Time and Work Formula PDF For Competitive Exams, Examples
700×200
guidely.in
Time and Work Formula PDF For Competitive Exams, Examples
Explore more searches like
Work
Time
Formula
Done Vector
Calc 3
Calculus 2
Dot Product
Mechanical Energy
Math Problems
Kinetic Energy
Force Distance
Pressure-Volume
Power Physics
Dot Product Physics
Physics Math
474×266
adda247.com
Time and Work Formula, Questions, Problems, and Tricks
223×54
blogspot.com
All about Maths: Time and Work Formula, Shortcuts
225×55
blogspot.com
All about Maths: Time and Work Formula, Shortcuts
1080×1080
adda247.com
Time and Work Formula- Get Questio…
1080×1080
adda247.com
Time and Work Formula- Get Questio…
1600×1156
cartoondealer.com
Work Formula. How To Calculate Work Done With Triangle. Cartoon Vector ...
1000×1000
solatatech.com
Work Formula - What is Formula for Work? E…
399×234
animalia-life.club
Work Efficiency Formula
308×239
signalticket9.pythonanywhere.com
Exemplary What The Formula For Work Chemical Equations Answer Key
1280×720
storage.googleapis.com
How To Measure Time Formula at Oscar Loveless blog
283×66
byjus.com
Time and Work - Quantitative Aptitude Questions, Formulas & Tips
768×1024
scribd.com
Time and Work Problem Solvin…
426×293
competitiveexamsindia.com
Time and Work – Concept, Formula & Aptitude Questions
423×206
competitiveexamsindia.com
Time and Work – Concept, Formula & Aptitude Questions
1200×800
unstop.com
Time and Work Aptitude: Key Formulas & Top MCQs with Solutions // Unstop
771×816
pw.live
Time & Work, Definition, Formula and Examples
1860×2631
cat100percentile.com
Time and Work – 5 – CAT-holics
1860×2631
cat100percentile.com
Time and Work – 1 – CAT-holics
1860×2631
cat100percentile.com
Time and Work – 2 – CAT-holics
990×298
preparebetter.in
Time and Work Shortcut Methods - Prepare Better
Some results have been hidden because they may be inaccessible to you.
Show inaccessible results
Report an inappropriate content
Please select one of the options below.
Not Relevant
Offensive
Adult
Child Sexual Abuse
Feedback