The photos you provided may be used to improve Bing image processing services.
Privacy Policy
|
Terms of Use
Can't use this link. Check that your link starts with 'http://' or 'https://' to try again.
Unable to process this search. Please try a different image or keywords.
Try Visual Search
Search, identify objects and text, translate, or solve problems using an image
Drag one or more images here,
upload an image
or
open camera
Drop images here to start your search
To use Visual Search, enable the camera in this browser
All
Search
Images
Inspiration
Create
Collections
Videos
Maps
News
More
Shopping
Flights
Travel
Notebook
Top suggestions for Commutation Relations of Ladder Operators
Spin
Commutation Relations
Commutation Relations
in Quantum Mechanics
Angular Momentum
Commutation Relations
Canonical
Commutation Relation
Commutator
Rules
Anti
Commutation Relations
Quantum Momentum
Operator
Commutation
Channel
Fundamental
Commutation Relations
Bose
Commutation Relations
Bosonic
Commutation Relations
Commuator
Relations
Harmonic Oscillator
Commutation Relations
Commutation
in DC Machine
Position Momentum
Commutation
Popular
Commutation Relations
Anticommutator
Relations
Brushless Motor
Commutation
Commutator
Formula
Commutator
Matrix
Commutator
Algebra
Commutation of
Matrices
Commutation
Identities
Commutation Relations
True Psuedo
Electric Motor
Commutator
Pauli Matrix
Commutation
Position Operator
in Momentum Space
Commutation
Theorem
ABC
Commutator
Commutation
Functions
Properties of
Commutators
DC Generator
Commutator
XPLR
Commutation Relations
for Bosonic Operators
Commutation
Definition
3D Momentum
Operator
Total Angular Momentum
Commutation Relations
Commutation Relation
Creation
Commutation
Government Definition
Quantum Mechanics
Cheat Sheet
Four-
Vector
Dirac
Equation
Commutation
Factor Calculation
Momentum Commutation Relations
Itself
Anti Commutation Relations
Creation and Annihilation
Commutator
Segments
X Px
Commutator
Lorentz Force
Law
Orbital Angular
Momentum
Explore more searches like Commutation Relations of Ladder Operators
Annihilation
Operator
Quantum
Theory
Harmonic
Oscillator
Angular Momentum
Operator
Total Angular
Momentum
Pauli
Matrix
Quantum
Mechanics
Pauli
Matrices
Orbital Angular
Momentum
Pauli Matrices
Anti
Property
Quantum
Matrices Satisfy
Following
Annihilation Creation
Operator
Quantum Mechanics
Energy/Time
Quantum Mechanics
Uncertainity
Potential Quantum
Mechanics
Between Momentum
Position
Quantum Mechanics for
Sqaure Momentum
Angular
Momentum
People interested in Commutation Relations of Ladder Operators also searched for
DC
Generator
History
Illustration
Sentence
Definition
AC
Generator
3 Phase
Motor
Sector
Meaning
Failure
Examples
Stepper
Motor
Electric
Current
Symbolic
Logic
Electrical
Engineering
Mechanical Vs.
Electrical
Electric
Apparatus
DC
Machine
Brushless
Motor
Sample
Letter
Left Right
Side
Process
Diagram
Clip
Art
Power
Converter
Block
Property
Payment
President
Commutation
Jacket
6
Step
Frequency
Matrix
Hard
Means
Methods
SCR
Voltage
Force
Rules
Autoplay all GIFs
Change autoplay and other image settings here
Autoplay all GIFs
Flip the switch to turn them on
Autoplay GIFs
Image size
All
Small
Medium
Large
Extra large
At least... *
Customized Width
x
Customized Height
px
Please enter a number for Width and Height
Color
All
Color only
Black & white
Type
All
Photograph
Clipart
Line drawing
Animated GIF
Transparent
Layout
All
Square
Wide
Tall
People
All
Just faces
Head & shoulders
Date
All
Past 24 hours
Past week
Past month
Past year
License
All
All Creative Commons
Public domain
Free to share and use
Free to share and use commercially
Free to modify, share, and use
Free to modify, share, and use commercially
Learn more
Clear filters
SafeSearch:
Moderate
Strict
Moderate (default)
Off
Filter
Spin
Commutation Relations
Commutation Relations
in Quantum Mechanics
Angular Momentum
Commutation Relations
Canonical
Commutation Relation
Commutator
Rules
Anti
Commutation Relations
Quantum Momentum
Operator
Commutation
Channel
Fundamental
Commutation Relations
Bose
Commutation Relations
Bosonic
Commutation Relations
Commuator
Relations
Harmonic Oscillator
Commutation Relations
Commutation
in DC Machine
Position Momentum
Commutation
Popular
Commutation Relations
Anticommutator
Relations
Brushless Motor
Commutation
Commutator
Formula
Commutator
Matrix
Commutator
Algebra
Commutation of
Matrices
Commutation
Identities
Commutation Relations
True Psuedo
Electric Motor
Commutator
Pauli Matrix
Commutation
Position Operator
in Momentum Space
Commutation
Theorem
ABC
Commutator
Commutation
Functions
Properties of
Commutators
DC Generator
Commutator
XPLR
Commutation Relations
for Bosonic Operators
Commutation
Definition
3D Momentum
Operator
Total Angular Momentum
Commutation Relations
Commutation Relation
Creation
Commutation
Government Definition
Quantum Mechanics
Cheat Sheet
Four-
Vector
Dirac
Equation
Commutation
Factor Calculation
Momentum Commutation Relations
Itself
Anti Commutation Relations
Creation and Annihilation
Commutator
Segments
X Px
Commutator
Lorentz Force
Law
Orbital Angular
Momentum
1009×1920
chegg.com
Solved Commutation …
1037×1791
chegg.com
Solved Commutation …
1414×390
chegg.com
Solved In this problem we see what general commutation | Chegg.com
1210×200
chegg.com
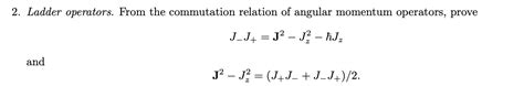
Solved 2. Ladder operators. From the commutation relation of | Chegg.com
Related Products
Commutation Relations Book
Quantum Mechanics C…
Commutation Relations Po…
500×288
quizlet.com
ladder operators Flashcards | Quizlet
180×234
coursehero.com
Commutation Relations for F…
546×147
chegg.com
Solved Use the commutation relations between operators and | Chegg.com
1597×572
chegg.com
Solved 1. The fundamental commutation relations between | Chegg.com
850×301
researchgate.net
Connection operators satisfying the commutation relations, adapted from ...
1450×174
chegg.com
Solved In this problem, you will establish the commutation | Chegg.com
885×331
chegg.com
Solved Hamiltonian and ladder operator Using commutation | Chegg.com
Explore more searches like
Commutation Relations
of Ladder Operators
Annihilation Operator
Quantum Theory
Harmonic Oscillator
Angular Momentum O
…
Total Angular Momentum
Pauli Matrix
Quantum Mechanics
Pauli Matrices
Orbital Angular Momentum
Pauli Matrices Anti
Property Quantum
Matrices Satisfy Follo
…
1432×656
chegg.com
Solved In this problem, you will establish the commutation | Chegg.com
850×512
researchgate.net
The commutation relations between the four subsets of logical ...
893×495
chegg.com
Solved zdp? [2 points] 4. Commutation relations [8 points | Chegg.com
629×651
researchgate.net
Action of ladder operators | Downloa…
850×1100
researchgate.net
(PDF) Commutation-rel…
1106×520
mindnetwork.us
Quantum Harmonic Oscillator: Ladder Operators
1024×814
chegg.com
Solved The ladder operators a^±satisfy nice algebraic | Che…
842×245
chegg.com
Solved We use the following relations for the ladder-up and | Chegg.com
965×389
numerade.com
SOLVED: The ladder operators \( a \) and \( a^{\dagger} \) are defined ...
1920×772
chegg.com
Solved L±ladder operators are described as L±=Lx±iLy (a) [10 | Chegg.com
1732×648
chegg.com
Solved L±ladder operators are described as L±=Lx±iLy (a) [10 | Chegg.com
1024×101
chegg.com
Solved In the lecture we solved the harmonic oscillator | Chegg.com
712×134
numerade.com
SOLVED: 4.Obtain the following commutation relations between the ...
474×308
numerade.com
SOLVED: The ladder operators a and a^† are defined as follows in terms ...
People interested in
Commutation
Relations of Ladder Operators
also searched for
DC Generator
History Illustration
Sentence Definition
AC Generator
3 Phase Motor
Sector Meaning
Failure Examples
Stepper Motor
Electric Current
Symbolic Logic
Electrical Engineering
Mechanical Vs. Electrical
375×235
physics.stackexchange.com
quantum mechanics - Can any pair of operators $(a,b)$ that …
901×317
chegg.com
Solved a) Using the commutation relationships between the | Chegg.com
873×345
chegg.com
Solved Problem 6.22 (a) Show that the commutation relations, | Chegg.com
616×230
chegg.com
Solved We know the following relationship of the ladder | Chegg.com
993×890
numerade.com
23 commutation relations as opposed to number multipli…
700×449
chegg.com
Solved 2. Starting with the commutation relations for | Chegg.com
1604×668
chegg.com
Solved The commutation relations: | Chegg.com
655×527
chegg.com
Solved 1. Calculate the following commutation relations: | Cheg…
850×454
researchgate.net
Diagram of the action of the two-step ladder operators L ´ , L ...
881×476
chegg.com
Solved Starting with the canonical commutation relations for | Chegg.com
Some results have been hidden because they may be inaccessible to you.
Show inaccessible results
Report an inappropriate content
Please select one of the options below.
Not Relevant
Offensive
Adult
Child Sexual Abuse
Feedback