The photos you provided may be used to improve Bing image processing services.
Privacy Policy
|
Terms of Use
Can't use this link. Check that your link starts with 'http://' or 'https://' to try again.
Unable to process this search. Please try a different image or keywords.
Try Visual Search
Search, identify objects and text, translate, or solve problems using an image
Drag one or more images here,
upload an image
or
open camera
Drop images here to start your search
To use Visual Search, enable the camera in this browser
All
Search
Images
Inspiration
Create
Collections
Videos
Maps
News
More
Shopping
Flights
Travel
Notebook
Top suggestions for Distribution Factor
Distribution Factor
Formula
Live Load
Distribution Factor
Moment
Distribution Factor
Transfer
Distribution Factor
Winding
Factor
Moment Distribution
Method Distribution Factor
Medication
Distribution
Drug Distribution
Body
Hourly
Distribution Factor
Distribution Factor
Diagram
PTDF Power Transfer
Distribution Factor
Distribution Factor
for Fixed
Distribution Factor
of Portal
Pitch Factor
and Distribution Factor
Distribution Factor
for Fixed End
Distribution Factor
Vectorial Graph
Factor or Distribution
First
Distribution Factor
Example
Distribution Factor
Formula M
Distribution Factor
in Alternator
Column
Distribution Factor
Distribution Factor
Equation
Stiffness
Factor
Finding
Distribution Factor
Distribution Factor
of Free End
Distribution Factor
for Pinned End
Distribution Factor
Formula in Structure
Distribution Factor
Theory of Structures
Barra
Factor Distribution
When to Use the
Distribution Factor
Distribution Factor
in Power System
Distribution Factor
Hinged
What Is Column
Distribution Factor
Impact
Factor Distribution
Standard Normal
Distribution Function
Distribution Factor
Equation Ei
Negative Power Transfer
Distribution Factor
Distribution Factor
of a Free End in Beam
Equal
Distribution
Distribution Factor
in Cantilever
Fundamental Winding
Factor
Live Load
Distribution Factor AASHTO
Distribution Factor
Formula Derivation
Distribution Factor
Formula in Types of Structure
Volume of Drug
Distribution
Distribution
Selection
Distribution Factor
for Beam AB
Line Closure
Distribution Factor Formula
Distribution
Voltages
Bridge Lever Rule
Distribution Factor
Refine your search for Distribution Factor
Free
End
What Is
Column
Free End
Beam
Power System
Network
Live
Load
Structural
Analysis
Rotating Electrical
Machines
Structural
Formula
Continuous
Beam
What Is
Girder
Lane
Formula
For
Impact
Bending
Tunnel
Center
Beam
Alternator
Moment
Effect
Line
Outage
Rule
Income
Definition
For Free
End
Explore more searches like Distribution Factor
Civil
Engineering
Derivation
Tunnel
Hoek-Brown
Frame
Truck
Gear
Load
Power
Transfer
Wheel
Live
Alternator
Formula
Beam
Formula
Theory
Equation
Directional
Rule
Arrows
People interested in Distribution Factor also searched for
Common
CA
Equation
AASHTO
Formula
Alternator
Pitch
Fctor
Its
Derivation
Solved
Problems
Chord Wise
Load
Axle
Load
What Are Live
Loads
Formula
Generator
Synchronous
Machines
EMF Equation
Pmsm
Formula Theory
Structures
Autoplay all GIFs
Change autoplay and other image settings here
Autoplay all GIFs
Flip the switch to turn them on
Autoplay GIFs
Image size
All
Small
Medium
Large
Extra large
At least... *
Customized Width
x
Customized Height
px
Please enter a number for Width and Height
Color
All
Color only
Black & white
Type
All
Photograph
Clipart
Line drawing
Animated GIF
Transparent
Layout
All
Square
Wide
Tall
People
All
Just faces
Head & shoulders
Date
All
Past 24 hours
Past week
Past month
Past year
License
All
All Creative Commons
Public domain
Free to share and use
Free to share and use commercially
Free to modify, share, and use
Free to modify, share, and use commercially
Learn more
Clear filters
SafeSearch:
Moderate
Strict
Moderate (default)
Off
Filter
Distribution Factor
Formula
Live Load
Distribution Factor
Moment
Distribution Factor
Transfer
Distribution Factor
Winding
Factor
Moment Distribution
Method Distribution Factor
Medication
Distribution
Drug Distribution
Body
Hourly
Distribution Factor
Distribution Factor
Diagram
PTDF Power Transfer
Distribution Factor
Distribution Factor
for Fixed
Distribution Factor
of Portal
Pitch Factor
and Distribution Factor
Distribution Factor
for Fixed End
Distribution Factor
Vectorial Graph
Factor or Distribution
First
Distribution Factor
Example
Distribution Factor
Formula M
Distribution Factor
in Alternator
Column
Distribution Factor
Distribution Factor
Equation
Stiffness
Factor
Finding
Distribution Factor
Distribution Factor
of Free End
Distribution Factor
for Pinned End
Distribution Factor
Formula in Structure
Distribution Factor
Theory of Structures
Barra
Factor Distribution
When to Use the
Distribution Factor
Distribution Factor
in Power System
Distribution Factor
Hinged
What Is Column
Distribution Factor
Impact
Factor Distribution
Standard Normal
Distribution Function
Distribution Factor
Equation Ei
Negative Power Transfer
Distribution Factor
Distribution Factor
of a Free End in Beam
Equal
Distribution
Distribution Factor
in Cantilever
Fundamental Winding
Factor
Live Load
Distribution Factor AASHTO
Distribution Factor
Formula Derivation
Distribution Factor
Formula in Types of Structure
Volume of Drug
Distribution
Distribution
Selection
Distribution Factor
for Beam AB
Line Closure
Distribution Factor Formula
Distribution
Voltages
Bridge Lever Rule
Distribution Factor
768×1024
scribd.com
Factors of Distribution Syste…
408×492
howelectrical.com
What is Distribution Factor? Definition, D…
446×564
circuitglobe.com
What is a Distribution Factor? - Circuit Gl…
774×176
circuitglobe.com
What is a Distribution Factor? - Circuit Globe
Related Products
Normal Distribution Calculator
Probability Distribution Table
Binomial Distribution Formula
484×74
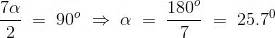
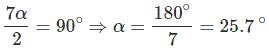
circuitglobe.com
What is a Distribution Factor? - Circuit Globe
644×85
circuitglobe.com
What is a Distribution Factor? - Circuit Globe
513×427
electrically4u.com
Pitch Factor and Distribution Factor | Winding factor in Altern…
300×93
electrically4u.com
Pitch Factor and Distribution Factor | Winding factor in Alt…
279×51
electrical4u.com
Winding Factor | Pitch Factor | Distribution Factor
275×38
electrical4u.com
Winding Factor | Pitch Factor | Distribution Factor
120×33
electrical4u.com
Winding Factor | Pitch Factor | …
378×54
electrically4u.com
Pitch Factor and Distribution Factor | Winding factor in Alternator
Refine your search for
Distribution Factor
Free End
What Is Column
Free End Beam
Power System Network
Live Load
Structural Analysis
Rotating Electrical Ma
…
Structural Formula
Continuous Beam
What Is Girder
Lane
Formula For
700×270
www.tutorialspoint.com
Distribution Factor or Breadth Factor
1280×960
blogspot.com
THE WORLD OF ELECTRICAL ENGINEERS…
300×161
electrical4u.com
Winding Factor | Pitch Factor | Distribution Fac…
140×37
electrical4u.com
Winding Factor | Pitch Factor | …
372×168
electrical4u.com
Winding Factor | Pitch Factor | Distribution Factor | Electrical4U
202×33
electrical4u.com
Winding Factor | Pitch Factor | Distribution Fact…
531×112
electrical4u.com
Winding Factor | Pitch Factor | Distribution Factor | Electrical4U
199×37
electrical4u.com
Winding Factor | Pitch Factor | Distribution Fact…
81×38
electrical4u.com
Winding Factor | Pitch Factor | …
534×400
electrical4u.com
Winding Factor | Pitch Factor | Distribution Factor | Electrical4U
269×51
electrical4u.com
Winding Factor | Pitch Factor | Distribution Factor | Electrical4U
1240×1754
studypool.com
SOLUTION: Winding factor …
638×359
slideshare.net
Distribution Factor, Concentrated Windings, Distributed Windings | PPTX
638×359
slideshare.net
Distribution Factor, Concentrated Windings, Distributed Windings | PPTX
638×359
slideshare.net
Distribution Factor, Concentrated Windings, Distributed Windings | PPTX
638×359
slideshare.net
Distribution Factor, Concentrated Windings, Distributed Windings | PPTX
638×359
slideshare.net
Distribution Factor, Concentrated Windings, Distributed Windings | PPTX
Explore more searches like
Distribution Factor
Civil Engineering
Derivation
Tunnel Hoek-Brown
Frame
Truck
Gear Load
Power Transfer
Wheel Live
Alternator Formula
Beam
Formula Theory
Equation
638×359
slideshare.net
Distribution Factor, Concentrated Windings, Distributed Windings | PPTX
495×640
slideshare.net
Distribution Factor, Concent…
2048×1152
slideshare.net
Distribution Factor, Concentrated Windings, Distributed Windings | PPTX
2048×1152
slideshare.net
Distribution Factor, Concentrated Windings, Distributed Windings | PPTX
244×300
electricalbaba.com
Distribution Factor – Definition, Calculati…
568×57
electricalbaba.com
Distribution Factor – Definition, Calculation and Formula - Electrical ...
Some results have been hidden because they may be inaccessible to you.
Show inaccessible results
Report an inappropriate content
Please select one of the options below.
Not Relevant
Offensive
Adult
Child Sexual Abuse
Feedback