The photos you provided may be used to improve Bing image processing services.
Privacy Policy
|
Terms of Use
Can't use this link. Check that your link starts with 'http://' or 'https://' to try again.
Unable to process this search. Please try a different image or keywords.
Try Visual Search
Search, identify objects and text, translate, or solve problems using an image
Drag one or more images here,
upload an image
or
open camera
Drop images here to start your search
To use Visual Search, enable the camera in this browser
All
Search
Images
Inspiration
Create
Collections
Videos
Maps
News
More
Shopping
Flights
Travel
Notebook
Top suggestions for Fast Entry Test Sample
Etea
Test Sample
Sample Entry Test
for Class Prep High School
Test
Paper Sample
Test Entry
Form
Entry Test Sample
Format
Cust
Entry Test Samples
London Oratory
Entry Test Template
Online Entry Test
Example
English Entrance Exam
Samples
School Test
Papers
Reasoning Sample
Paper
Nu Tech University
Entry Test Pattern
Entry Test
Printable in 1 Sheet
Belit
Test Sample
Nu Tech Entry Test
Past Papers
UOL University Entry Test
Questions Sheet
Test Sample
Huntsman
General Entry
Testing Examples
Entry Test
Forms
NUST
Test Sample
Entrance Exam
Sample
Entry Test
Design
Entry Level
Test Sample
UOL Past Papers for
Entry Test
Sample
Entrance Exam for College
Example of
Entry Skill Test
Giki Sample
Paper
English Grade
6 Exam Papers
Fode
Entry Test Sample
UOL Entry Test
Paper Pattern
Entry Test
Form Template
Entrance Examination
Form
Model Paper for
Entry Test Class Beegb
Form One
Entry Test Samples
Giki MGS
Test Sample
Pre-Medical
Entry Test Sample
Entry Test
Results Template
Faast Entry Test
Book
Student English Level
Entry Assessment Form
Cost of
Entry Test Template
ESL Entry
Level Test Form
Samples
of Program Paper
Sample
Paper of It for Entry Test
No-Entry Sample
Layout
Entrance Assessment
Test Example
Thai Entrance
Test Samples
Point of Entry Sample
in Form
Entry Test
Prepari Ng Poster Templete
Sample
of Entrance Exam
Explore more searches like Fast Entry Test Sample
Plan
Template
Case
Template
Color
Print
Images
Download
Student
Exam
Report
Template
Text/Images
Script
Template
Writing
Assessment
Employment
Assessment
Report
TOEFL
1
PDF
Wonderlic
GED
Psychometric
General
Ability
OET
IELTS
Examination
Scheig
Two
Paper
People interested in Fast Entry Test Sample also searched for
What
is
Ability
Results
Civil
Service
Identification
IELTS
Speaking
Predictive Index
Survey
Independent
Autoplay all GIFs
Change autoplay and other image settings here
Autoplay all GIFs
Flip the switch to turn them on
Autoplay GIFs
Image size
All
Small
Medium
Large
Extra large
At least... *
Customized Width
x
Customized Height
px
Please enter a number for Width and Height
Color
All
Color only
Black & white
Type
All
Photograph
Clipart
Line drawing
Animated GIF
Transparent
Layout
All
Square
Wide
Tall
People
All
Just faces
Head & shoulders
Date
All
Past 24 hours
Past week
Past month
Past year
License
All
All Creative Commons
Public domain
Free to share and use
Free to share and use commercially
Free to modify, share, and use
Free to modify, share, and use commercially
Learn more
Clear filters
SafeSearch:
Moderate
Strict
Moderate (default)
Off
Filter
Etea
Test Sample
Sample Entry Test
for Class Prep High School
Test
Paper Sample
Test Entry
Form
Entry Test Sample
Format
Cust
Entry Test Samples
London Oratory
Entry Test Template
Online Entry Test
Example
English Entrance Exam
Samples
School Test
Papers
Reasoning Sample
Paper
Nu Tech University
Entry Test Pattern
Entry Test
Printable in 1 Sheet
Belit
Test Sample
Nu Tech Entry Test
Past Papers
UOL University Entry Test
Questions Sheet
Test Sample
Huntsman
General Entry
Testing Examples
Entry Test
Forms
NUST
Test Sample
Entrance Exam
Sample
Entry Test
Design
Entry Level
Test Sample
UOL Past Papers for
Entry Test
Sample
Entrance Exam for College
Example of
Entry Skill Test
Giki Sample
Paper
English Grade
6 Exam Papers
Fode
Entry Test Sample
UOL Entry Test
Paper Pattern
Entry Test
Form Template
Entrance Examination
Form
Model Paper for
Entry Test Class Beegb
Form One
Entry Test Samples
Giki MGS
Test Sample
Pre-Medical
Entry Test Sample
Entry Test
Results Template
Faast Entry Test
Book
Student English Level
Entry Assessment Form
Cost of
Entry Test Template
ESL Entry
Level Test Form
Samples
of Program Paper
Sample
Paper of It for Entry Test
No-Entry Sample
Layout
Entrance Assessment
Test Example
Thai Entrance
Test Samples
Point of Entry Sample
in Form
Entry Test
Prepari Ng Poster Templete
Sample
of Entrance Exam
768×1024
scribd.com
Fast Entry Test Past Papers | PD…
768×1024
scribd.com
FAST ENTRY TEST PAST PAP…
300×157
stsresult.com.pk
FAST Entry Test 2024 Registration Last Date to Appl…
3708×2150
studypool.com
SOLUTION: Fast university entry test sample paper - Studypool
Related Products
Test Sample Kit
Blood Test Samples
Water Testing Kits
300×300
talib.pk
FAST University Entry Test Sample Paper …
1024×536
stsresult.com.pk
FAST Entry Test Result 2024 Merit List 1st, 2nd, 3rd [nu.edu.pk Result]
2048×1152
dailyresult.pk
FAST Entry Test Result 2025 @nu.edu.pk Result
1280×720
ilm.com.pk
Fast University Entry Test Sample Paper PDF Download
665×113
passpk.com
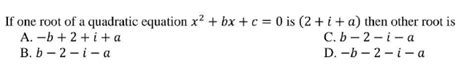
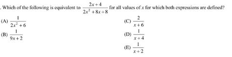
FAST Entry Test Full Length Paper
419×140
passpk.com
FAST Entry Test Full Length Paper
788×142
passpk.com
FAST Entry Test Full Length Paper
Explore more searches like
Fast Entry
Test Sample
Plan Template
Case Template
Color Print
Images Download
Student Exam
Report Template
Text/Images
Script Template
Writing Assessment
Employment Assessment
Report
TOEFL
614×86
passpk.com
FAST Entry Test Full Length Paper
501×113
passpk.com
FAST Entry Test Full Length Paper
513×137
passpk.com
FAST Entry Test Full Length Paper
605×198
passpk.com
FAST Entry Test Full Length Paper
577×122
passpk.com
FAST Entry Test Full Length Paper
548×123
passpk.com
FAST Entry Test Full Length Paper
762×101
passpk.com
FAST Entry Test Full Length Paper
641×117
passpk.com
FAST Entry Test Full Length Paper
512×100
passpk.com
FAST Entry Test Full Length Paper
630×118
passpk.com
FAST Entry Test Full Length Paper
654×101
passpk.com
FAST Entry Test Full Length Paper
622×91
passpk.com
FAST Entry Test Full Length Paper
People interested in
Fast Entry
Test Sample
also searched for
What is
Ability
Results
Civil Service
Identification
IELTS Speaking
Predictive Index Survey
Independent
556×93
passpk.com
FAST Entry Test Full Length Paper
774×159
passpk.com
FAST Entry Test Full Length Paper
773×141
passpk.com
FAST Entry Test Full Length Paper
588×285
passpk.com
FAST Entry Test Full Length Paper
769×139
passpk.com
FAST Entry Test Full Length Paper
512×122
passpk.com
FAST Entry Test Full Length Paper
544×119
passpk.com
FAST Entry Test Full Length Paper
528×112
passpk.com
FAST Entry Test Full Length Paper
535×98
passpk.com
FAST Entry Test Full Length Paper
579×87
passpk.com
FAST Entry Test Full Length Paper
513×275
passpk.com
FAST Entry Test Full Length Paper
423×277
passpk.com
FAST Entry Test Full Length Paper
Some results have been hidden because they may be inaccessible to you.
Show inaccessible results
Report an inappropriate content
Please select one of the options below.
Not Relevant
Offensive
Adult
Child Sexual Abuse
Feedback