The photos you provided may be used to improve Bing image processing services.
Privacy Policy
|
Terms of Use
Can't use this link. Check that your link starts with 'http://' or 'https://' to try again.
Unable to process this search. Please try a different image or keywords.
Try Visual Search
Search, identify objects and text, translate, or solve problems using an image
Drag one or more images here,
upload an image
or
open camera
Drop images here to start your search
To use Visual Search, enable the camera in this browser
All
Search
Images
Inspiration
Create
Collections
Videos
Maps
News
More
Shopping
Flights
Travel
Notebook
Top suggestions for Improper Integrals Practice Problems
Integral
Worksheet
Evaluating
Improper Integrals
Improper Integral
Rules
Improper Integrals
Converge or Diverge
Examples of
Improper Integrals
Integral Practice Problems
Evaluate the
Improper Integral
How to Solve
Improper Integrals
Improper Integrals
Calc 2
Practice
Integration Problems
Definite
Integral Problems
Indefinite
Integral
Comparison Test
Improper Integrals
Improper Integral
Calculator
Improper Integrals
Cheat Sheet
P Test for
Improper Integrals
Basic Integration
Problems
Improper Integral
Calculus 2
How to Calculate
Improper Integrals
Improper Integral
Visual
Improper Integrals
Formula
Improper Integrals
Comparing
Limit Comparison Test
Improper Integrals
Infite
Integrals Practice Problems
Improper Int
Practice Problem
All
Improper Integrals
Improper Integrals Practice Problems
with Solutions
Indefinite Integral
Substitution
Table of
Improper Integrals
Rules for Solving
Improper Integrals
Improper Integrals
Infinity
Triple Integral
Calculator
Improper Integrals
Image Template
Hard
Improper Integrals
Impossible
Integrals
MCQ Questions for
Improper Integrals
Improper Integrals
All Formulas
Improper Integrals
Landscape
How to Find
Improper Integrals
Improper Integrals
Converges Diverges
Identify
Improper Integrals
Can Improper Integrals
Result in Infinity
Improper Integrals
Applications
Improper Integrals
Notes
Integral
Sample Question
Improper Integrals
Meme
Integral Problems
with Answers
Improper Integrals
Case 1 and Case 2
Derivative of
Improper Integral
Practice Set of Integrals
Calc II
Explore more searches like Improper Integrals Practice Problems
How
Find
Convergent vs
Divergent
Clip
Art
Different
Types
Convergence
Divergence
Probability
Theory
Quantum
Mechanics
Practical
Application
Cheat
Sheet
Type
2
Three
Rules
Limit Comparison
Test
Absolute
Value
Two
Types
Negative
Infinity
Squeeze
Theorem
Trig
Functions
Type 1
Example
General
Rules
Organic Chemistry
Tutor
Converge or
Diverge
Comparison
Test
Parametric
Equations
Common
Types
Test
For
Calc
2
Calculus
2
How
Solve
How
Evaluate
Converging
Type
1$2
Asymptotes
Comparison Theorem
For
Bounds
Worksheet
Solutions
WeBWorK
Diverges
Example
Conclusion
Cognate
One Infinit
Bound
Evaluating
People interested in Improper Integrals Practice Problems also searched for
Cliff Notes
For
Uses
Properties
Comparison
Test For
0
Integrating
Volume
Trig
Function
Steps
Find
What
Defines
Fraction
Autoplay all GIFs
Change autoplay and other image settings here
Autoplay all GIFs
Flip the switch to turn them on
Autoplay GIFs
Image size
All
Small
Medium
Large
Extra large
At least... *
Customized Width
x
Customized Height
px
Please enter a number for Width and Height
Color
All
Color only
Black & white
Type
All
Photograph
Clipart
Line drawing
Animated GIF
Transparent
Layout
All
Square
Wide
Tall
People
All
Just faces
Head & shoulders
Date
All
Past 24 hours
Past week
Past month
Past year
License
All
All Creative Commons
Public domain
Free to share and use
Free to share and use commercially
Free to modify, share, and use
Free to modify, share, and use commercially
Learn more
Clear filters
SafeSearch:
Moderate
Strict
Moderate (default)
Off
Filter
Integral
Worksheet
Evaluating
Improper Integrals
Improper Integral
Rules
Improper Integrals
Converge or Diverge
Examples of
Improper Integrals
Integral Practice Problems
Evaluate the
Improper Integral
How to Solve
Improper Integrals
Improper Integrals
Calc 2
Practice
Integration Problems
Definite
Integral Problems
Indefinite
Integral
Comparison Test
Improper Integrals
Improper Integral
Calculator
Improper Integrals
Cheat Sheet
P Test for
Improper Integrals
Basic Integration
Problems
Improper Integral
Calculus 2
How to Calculate
Improper Integrals
Improper Integral
Visual
Improper Integrals
Formula
Improper Integrals
Comparing
Limit Comparison Test
Improper Integrals
Infite
Integrals Practice Problems
Improper Int
Practice Problem
All
Improper Integrals
Improper Integrals Practice Problems
with Solutions
Indefinite Integral
Substitution
Table of
Improper Integrals
Rules for Solving
Improper Integrals
Improper Integrals
Infinity
Triple Integral
Calculator
Improper Integrals
Image Template
Hard
Improper Integrals
Impossible
Integrals
MCQ Questions for
Improper Integrals
Improper Integrals
All Formulas
Improper Integrals
Landscape
How to Find
Improper Integrals
Improper Integrals
Converges Diverges
Identify
Improper Integrals
Can Improper Integrals
Result in Infinity
Improper Integrals
Applications
Improper Integrals
Notes
Integral
Sample Question
Improper Integrals
Meme
Integral Problems
with Answers
Improper Integrals
Case 1 and Case 2
Derivative of
Improper Integral
Practice Set of Integrals
Calc II
768×1024
Scribd
Solved Problems in Improper Integral…
768×1024
scribd.com
Improper Integrals 2 | PDF | Integral | L…
768×1024
scribd.com
18 Improper Integrals | PDF | I…
768×1024
scribd.com
Exercise Questions Improper Integral…
Related Products
Calculus Integral Practice
Calculus Workbook
Definite Integral Worksheet
540×450
practiceproblems.org
Calculus 2 Improper integrals Problems and Solutions | Practic…
1280×720
jkmathematics.com
Improper Integrals - Calculus 2
719×355
varsitytutors.com
AP Calculus BC - Improper Integrals | Practice Hub
266×368
chegg.com
Solved MATH 142 - Imprope…
642×700
chegg.com
Solved MATH 142 - Improper Integrals …
1140×1300
study.com
Quiz & Worksheet - Solving Improper I…
270×350
www.teacherspayteachers.com
Improper Integrals Worksheet by Math Fo…
270×350
www.teacherspayteachers.com
Improper Integrals Worksheet by Math Fo…
1280×1656
docsity.com
Solved Problems on Improper Integrals - W…
540×700
chegg.com
Solved Practice Exercises 7-58. Improp…
500×700
chegg.com
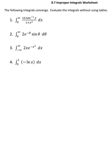
Solved 8.7 Improper Integrals Worksheet …
768×994
studylib.net
Improper Integrals: Calculus Notes & Pract…
Explore more searches like
Improper Integrals
Practice Problems
How Find
Convergent vs Divergent
Clip Art
Different Types
Convergence Divergence
Probability Theory
Quantum Mechanics
Practical Application
Cheat Sheet
Type 2
Three Rules
Limit Comparison
…
1200×1553
studocu.com
Improper Integrals Practi…
610×786
mech.poriyaan.in
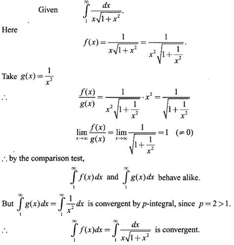
Improper Integrals - Theorem, Worked Exa…
553×485
mech.poriyaan.in
Improper Integrals - Theorem, Worked Exam…
632×335
mech.poriyaan.in
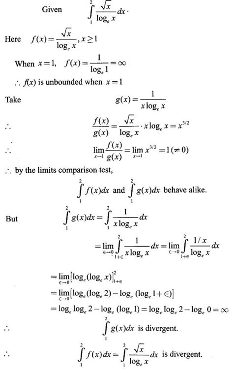
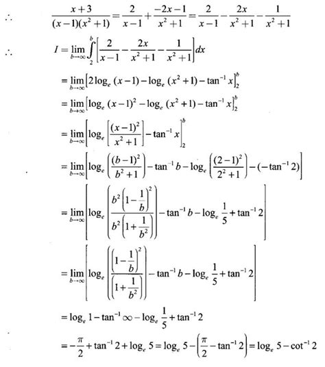
Improper Integrals - Theorem, Worked Examples, Exercise with Answers ...
579×395
mech.poriyaan.in
Improper Integrals - Theorem, Worked Examples, Exercise with …
650×685
mech.poriyaan.in
Improper Integrals - Theorem, Worked Examples, Exercis…
564×377
mech.poriyaan.in
Improper Integrals - Theorem, Worked Examples, Exercise with Answers ...
542×624
mech.poriyaan.in
Improper Integrals - Theorem, Worked Exam…
628×422
mech.poriyaan.in
Improper Integrals - Theorem, Worked Examples, Exercise with Answers ...
615×605
mech.poriyaan.in
Improper Integrals - Theorem, Worked Exampl…
662×1174
mech.poriyaan.in
Improper Integrals - The…
672×1094
mech.poriyaan.in
Improper Integrals - The…
560×586
mech.poriyaan.in
Improper Integrals - Theorem, Worked Exam…
623×705
mech.poriyaan.in
Improper Integrals - Theorem, Worked Exa…
574×501
mech.poriyaan.in
Improper Integrals - Theorem, Worked Examples, Exercise wi…
621×226
mech.poriyaan.in
Improper Integrals - Theorem, Worked Examples, Exercise with Answers ...
546×874
mech.poriyaan.in
Improper Integrals - Theorem, Worked Exam…
565×548
mech.poriyaan.in
Improper Integrals - Theorem, Worked Exampl…
480×375
mech.poriyaan.in
Improper Integrals - Theorem, Worked Examples, Exercise wit…
Some results have been hidden because they may be inaccessible to you.
Show inaccessible results
Report an inappropriate content
Please select one of the options below.
Not Relevant
Offensive
Adult
Child Sexual Abuse
Feedback