The photos you provided may be used to improve Bing image processing services.
Privacy Policy
|
Terms of Use
Can't use this link. Check that your link starts with 'http://' or 'https://' to try again.
Unable to process this search. Please try a different image or keywords.
Try Visual Search
Search, identify objects and text, translate, or solve problems using an image
Drag one or more images here,
upload an image
or
open camera
Drop images here to start your search
To use Visual Search, enable the camera in this browser
All
Search
Images
Inspiration
Create
Collections
Videos
Maps
News
More
Shopping
Flights
Travel
Notebook
Top suggestions for Iready Math Questions Complex Numbers
Complex Math Questions
Iready Math
Iready Math
Games
Iready Numbers
Iready Math
Lessons Ball
Iready Math
Diagnostic
Iready Math
Worksheets 3rd Grade
Iready Math
Worksheets 4th Grade
Math Iready
100
Questions Over
Complex Numbers
Who Invented
Iready Math
Iready Math
Lesson 21
Complex Numbers
Worksheet
Iready
Class Numbers
Iready
2nd Grade Math Worksheets
Complex Number
Kbat Question
Iready Math
Imge
Minimum
Math Iready Math
Dividing
Complex Numbers
Level G
Iready Math
Iready Math
Worksheets 6th Grade
Iready Math
23 Minutes
Iready Math
Book 6th Grade
Iready Math
Counting On within 20
Complex Numbers Questions
and Answers PDF
Copmlex Numbers
Review Mat
Calculus On
Iready Math
Math Iready
App
Multiplying
Complex Numbers
IB
Complex Numbers Questions
Iready Math
Login
Simplifying
Complex Numbers
Iready Math
Characters Black and White
Iready Math
to Make Something Bigger Enlarge
Complex Math
Equations Formulas
Imaginary Numbers Math
Rule Divide
Math
Pages Iready
JEE Sample
Questions Math
What a Good Grade for
Iready Math Looks Like
Complex Numbers
Definition
COMLEX Number
High Level Question
Iready Class Numbers
Real
Complex Numbers
Examples
Complex Math
Anser 13 Answers
Complex
Solutions Math
Complex Numbers
Exam Questions
Adding
Complex Numbers
Complex Numbers
Activity Sheet
Graphing
Complex Numbers
Iready Math
Sheets
Explore more searches like Iready Math Questions Complex Numbers
Obstacle
Course
2nd
Grade
Test
Icon
What Does Level
Mean
100
Percent
My
Progress
Green
Brain
Who
Created
5th
Grade
What Is
Level
8th
Grade
Grade
3
Clever
Portal
3rd
Grade
Learning
Games
Games
for Kids
Cheat
Sheet
4th
Grade
7th
Grade
Grade
Level
Book Answer
Key
Part
1
Guided
Steps
Placement
Chart
Instructions
Steps
1st
Grade
Third
Grade
Plory
Yoop
Eve
25
Mins
Cover
E
Posters
Reading Score Chart
Diagnostic
Woman
Level
Diagnostic Score
Chart 6th-Grade
20
Minutes
Free
Book 6th
Grade
Complete
Screen
Aliens
8
Grade
Autoplay all GIFs
Change autoplay and other image settings here
Autoplay all GIFs
Flip the switch to turn them on
Autoplay GIFs
Image size
All
Small
Medium
Large
Extra large
At least... *
Customized Width
x
Customized Height
px
Please enter a number for Width and Height
Color
All
Color only
Black & white
Type
All
Photograph
Clipart
Line drawing
Animated GIF
Transparent
Layout
All
Square
Wide
Tall
People
All
Just faces
Head & shoulders
Date
All
Past 24 hours
Past week
Past month
Past year
License
All
All Creative Commons
Public domain
Free to share and use
Free to share and use commercially
Free to modify, share, and use
Free to modify, share, and use commercially
Learn more
Clear filters
SafeSearch:
Moderate
Strict
Moderate (default)
Off
Filter
Complex Math Questions
Iready Math
Iready Math
Games
Iready Numbers
Iready Math
Lessons Ball
Iready Math
Diagnostic
Iready Math
Worksheets 3rd Grade
Iready Math
Worksheets 4th Grade
Math Iready
100
Questions Over
Complex Numbers
Who Invented
Iready Math
Iready Math
Lesson 21
Complex Numbers
Worksheet
Iready
Class Numbers
Iready
2nd Grade Math Worksheets
Complex Number
Kbat Question
Iready Math
Imge
Minimum
Math Iready Math
Dividing
Complex Numbers
Level G
Iready Math
Iready Math
Worksheets 6th Grade
Iready Math
23 Minutes
Iready Math
Book 6th Grade
Iready Math
Counting On within 20
Complex Numbers Questions
and Answers PDF
Copmlex Numbers
Review Mat
Calculus On
Iready Math
Math Iready
App
Multiplying
Complex Numbers
IB
Complex Numbers Questions
Iready Math
Login
Simplifying
Complex Numbers
Iready Math
Characters Black and White
Iready Math
to Make Something Bigger Enlarge
Complex Math
Equations Formulas
Imaginary Numbers Math
Rule Divide
Math
Pages Iready
JEE Sample
Questions Math
What a Good Grade for
Iready Math Looks Like
Complex Numbers
Definition
COMLEX Number
High Level Question
Iready Class Numbers
Real
Complex Numbers
Examples
Complex Math
Anser 13 Answers
Complex
Solutions Math
Complex Numbers
Exam Questions
Adding
Complex Numbers
Complex Numbers
Activity Sheet
Graphing
Complex Numbers
Iready Math
Sheets
976×510
ibalmaths.com
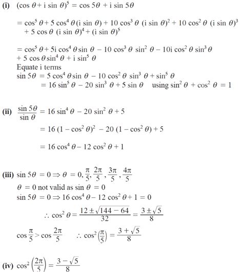
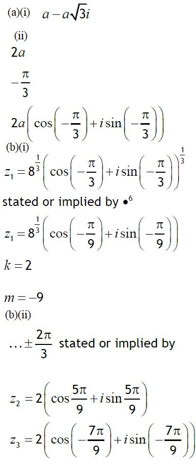
Practice Questions – Complex Numbers – IBDP Math HL/SL
904×1024
ibalmaths.com
Practice Questions – Complex Numb…
607×1533
ibalmaths.com
Practice Questions – C…
768×621
ibalmaths.com
Practice Questions – Complex Numbers – IBDP …
Related Products
Iready Math Workbook
Flash Cards
iReady Math Headphones
768×511
ibalmaths.com
Practice Questions – Complex Numbers – IBDP …
631×1116
ibalmaths.com
Practice Questions …
385×908
ibalmaths.com
Practice Questions …
838×2244
ibalmaths.com
Practice Questions …
878×986
ibalmaths.com
Practice Questions …
183×300
ibalmaths.com
Practice Questions …
600×97
www.ixl.com
IXL - Introduction to complex numbers (Algebra 2 practice)
563×377
www.mathwarehouse.com
Multiply Complex Numbers Worksheet (pdf) and Answe…
357×86
www.mathwarehouse.com
Imaginary Numbers Worksheet (pdf) and Answer Key. 29 scaffol…
378×57
www.mathwarehouse.com
Imaginary Numbers Worksheet (pdf) and Answer Key. 29 scaffolded ...
720×178
testgeek.com
SAT Math Complex Numbers & Imaginary Numbers - Test Geek Blog
Explore more searches like
Iready Math
Questions Complex Numbers
Obstacle Course
2nd Grade
Test Icon
What Does Level Mean
100 Percent
My Progress
Green Brain
Who Created
5th Grade
What Is Level
8th Grade
Grade 3
810×1082
fity.club
Imaginary Numbers I Cha…
810×1082
unmisravle.com
Complex Numbers Work…
1024×622
numerade.com
Complex and imaginary numbers - overview | Numerade
1024×622
numerade.com
Complex and imaginary numbers - example 1 | Numerade
1042×745
geeksforgeeks.org
Complex Numbers Questions with Solutions | GeeksforGeeks
742×1050
mathmonks.com
Complex Number Worksheets - M…
742×1050
mathmonks.com
Complex Number Worksheets - M…
742×1050
mathmonks.com
Complex Number Worksheets - M…
742×1050
mathmonks.com
Complex Number Worksheets - M…
500×353
tes.com
Complex Numbers Y1 Revision/Exam Questions | Teaching Resources
500×353
tes.com
Complex Numbers Y1 Revision/Exam Questions | Teaching Resources
500×281
tes.com
Complex Numbers Y1 Revision/Exam Questions | Teaching Resources
2480×3509
vhtc.org
Complex Numbers
971×713
allinonehighschool.com
Complex Numbers – Easy Peasy All-in-One High School
1024×768
SlideServe
PPT - Complex Numbers PowerPoint Presentation, f…
1030×787
emaths.ie
Complex Numbers - eMaths.ie
407×575
alphabetworksheetsfree.com
Complex Numbers Worksheet Pdf | …
525×700
chegg.com
Solved Complex number math. (6 …
1140×1257
worksheets.clipart-library.com
Quiz & Worksheet - Integer Powers of Com…
768×1024
scribd.com
Complex Numbers Worksheet | Comp…
Some results have been hidden because they may be inaccessible to you.
Show inaccessible results
Report an inappropriate content
Please select one of the options below.
Not Relevant
Offensive
Adult
Child Sexual Abuse
Feedback