The photos you provided may be used to improve Bing image processing services.
Privacy Policy
|
Terms of Use
Can't use this link. Check that your link starts with 'http://' or 'https://' to try again.
Unable to process this search. Please try a different image or keywords.
Try Visual Search
Search, identify objects and text, translate, or solve problems using an image
Drag one or more images here,
upload an image
or
open camera
Drop images here to start your search
To use Visual Search, enable the camera in this browser
All
Search
Images
Inspiration
Create
Collections
Videos
Maps
News
More
Shopping
Flights
Travel
Notebook
Top suggestions for Pointer Automation
Seamless
Automation
Laser Pointer Automation
Machine
Pointers
in Go
Rechargeable Laser
Pointer
Pointer
Computer Programming
Sport Weld
Pointer
Pointer
Software Developement
Point Machine
Assembly
Afag Automation
AG
Best Marketing
Automation Software
Pointer
Physics
Laser Pointer
Robot
Iot Based Home Automation System
Machine Adjustment
Pointer
Inset
Pointer
Fleet
Pointer
Cell Pointer
in Excel
Pointer
Web
Input
Pointer
Go
Pointers
Pointer
Programmiong
Pointer
to Notice
Pointer Pointer
Website
Applications of
Pointers
Automation
Guru
Pointer
Use of Projeckter
Pointers
On What Is Posh
Slider Pointers
Web Site
Pointer
Interface
Pointer
Media
Pointer
Jobs
Cursor
Pointer
Explore more searches like Pointer Automation
Icon.png
Wallpaper
4K
Everywhere
Meme
Smart
Home
Failed
Meme
Clip
Art
Background
Images
Workflow
Graphic
HD
Images
Craft
Kits
Background
for Home
white.PNG
Robot Human
Hand
Vector
Images
Testing
Meme
White
Background
Logo
Icon
Engineering
HD
Anywhere
Logo.png
Process Control
Logo
Line
Chart
Run
Icon
Economics
ClipArt
Industrial
Robotics
Logo
png
Kalypso
Rockwell
Network
Diagram
Robot
Icon
Anywhere
Logo
Technology
Wallpaper
Support Services
Logo
Wallpaper
PNG
Game
Cartoon
Factory
Factory
Robots
Icons
Free
For
Data
Robotics
College
Robot
Form
Control
Wallpaper
Robotic
Intelligence
People interested in Pointer Automation also searched for
Parts
Architecture
Industrial
Example Digital
Product
Art
Company Logo Icon
for Industrial
Free Icons
Ai
Autoplay all GIFs
Change autoplay and other image settings here
Autoplay all GIFs
Flip the switch to turn them on
Autoplay GIFs
Image size
All
Small
Medium
Large
Extra large
At least... *
Customized Width
x
Customized Height
px
Please enter a number for Width and Height
Color
All
Color only
Black & white
Type
All
Photograph
Clipart
Line drawing
Animated GIF
Transparent
Layout
All
Square
Wide
Tall
People
All
Just faces
Head & shoulders
Date
All
Past 24 hours
Past week
Past month
Past year
License
All
All Creative Commons
Public domain
Free to share and use
Free to share and use commercially
Free to modify, share, and use
Free to modify, share, and use commercially
Learn more
Clear filters
SafeSearch:
Moderate
Strict
Moderate (default)
Off
Filter
Seamless
Automation
Laser Pointer Automation
Machine
Pointers
in Go
Rechargeable Laser
Pointer
Pointer
Computer Programming
Sport Weld
Pointer
Pointer
Software Developement
Point Machine
Assembly
Afag Automation
AG
Best Marketing
Automation Software
Pointer
Physics
Laser Pointer
Robot
Iot Based Home Automation System
Machine Adjustment
Pointer
Inset
Pointer
Fleet
Pointer
Cell Pointer
in Excel
Pointer
Web
Input
Pointer
Go
Pointers
Pointer
Programmiong
Pointer
to Notice
Pointer Pointer
Website
Applications of
Pointers
Automation
Guru
Pointer
Use of Projeckter
Pointers
On What Is Posh
Slider Pointers
Web Site
Pointer
Interface
Pointer
Media
Pointer
Jobs
Cursor
Pointer
600×650
bpointer.com
AI & Automation Solutions | Bpointer Technologies
790×400
hightechautomation.in
Hightech Automation, Pune, MH, India
1024×575
alphrtechnology.com
Pointer Placement - Alphr Technology
1024×768
alphrtechnology.com
Pointer Placement - Alphr Technology
Related Products
Automation Books
Home Automation Devices
Industrial Automation Tools
612×612
istockphoto.com
Automation Pointer Icon Stock Illustration - Dow…
1200×628
linkedin.com
Jen Pointer on LinkedIn: #automation #machinelearning #innovation # ...
1024×1024
iconfinder.com
Indicator, automation, industry, machine, robot…
1152×1536
linkedin.com
#automation #edgeml #manuf…
750×458
alchetron.com
Pointer machine - Alchetron, The Free Social Encyclopedia
790×400
hightechautomation.in
Hightech Automation, Pune, MH, India
1024×1024
istockphoto.com
Mouse Pointer Robots And Robotics Autom…
1473×768
automateed.com
Pointer AI Review - Revolutionizing Document Editing - automateed.com
Explore more searches like
Pointer
Automation
Icon.png
Wallpaper 4K
Everywhere Meme
Smart Home
Failed Meme
Clip Art
Background Images
Workflow Graphic
HD Images
Craft Kits
Background for Home
white.PNG
1024×1024
istockphoto.com
Mouse Pointer People Home Automation Tech…
600×238
processexcellencenetwork.com
Attended automation: Pointer to boost customer experience
671×691
advancedrobotic.com
Alignment Laser pointer – ART CNC
582×404
pngtree.com
Pointer Point Background Images, HD Pictures and Wallpaper For Free ...
1024×576
positioniseverything.net
C++ Smart Pointer: Unlock Efficient Memory Management - Position Is ...
1600×900
positioniseverything.net
C++ Smart Pointer: Unlock Efficient Memory Management - Position Is ...
894×894
www.deviantart.com
Robot Pointer Cursor by MarkJaesell on D…
1200×652
computronix.com
Project Successes Featuring Intelligent Automation - Computronix
1024×576
cppscripts.com
Understanding C++ Weak Pointer for Smart Memory Management
1470×980
vecteezy.com
Precision Pointer View of Computer Mouse Generative AI 30910350 Sto…
800×427
cults3d.com
Free 3D file Manually operated pointer・3D print model to download・Cults
1000×993
indiamart.com
slide pointer at Rs 329/piece | Laser Poin…
1280×720
storage.googleapis.com
Use Laser Pointer In Microsoft Teams at Elizabeth Stephen blog
250×200
jholjhaal.com
Hide Mouse Cursor on Windows with Mouse …
657×252
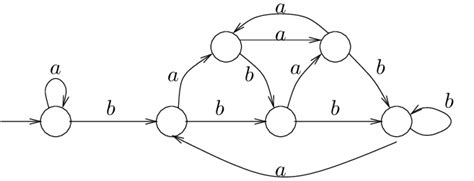
researchgate.net
Pointer machine ∆-structure (∆ = {a, b}). | Download Scientific Diagram
1000×1000
indiamart.com
laser presenter pointer at Rs 329/piece | Laser Li…
People interested in
Pointer
Automation
also searched for
Parts
Architecture Industrial
Example Digital Product
Art
Company Logo Icon for Industrial
Free Icons Ai
320×320
researchgate.net
Geometry of the pointer recognition system. | Do…
1000×1000
indiamart.com
laser presenter pointer at ₹ 279/piece | Wireless Pre…
1500×1101
shutterstock.com
Young Man Pointing Process Automation Text Stock Photo 38430…
1000×1000
indiamart.com
laser pointer red at Rs 279/piece | Crimping Too…
980×826
indiamart.com
pointer for presentation at Rs 329/piece | Crimping Tools in …
3000×3000
tradekorea.com
X POINTER Image Pointer with Air Mouse Control - S…
1000×987
indiamart.com
Rechargeable Green Laser Pointer at Rs 950/piece | ह…
Some results have been hidden because they may be inaccessible to you.
Show inaccessible results
See more images
Recommended for you
Sponsored
Report an inappropriate content
Please select one of the options below.
Not Relevant
Offensive
Adult
Child Sexual Abuse
Feedback