The photos you provided may be used to improve Bing image processing services.
Privacy Policy
|
Terms of Use
Can't use this link. Check that your link starts with 'http://' or 'https://' to try again.
Unable to process this search. Please try a different image or keywords.
Try Visual Search
Search, identify objects and text, translate, or solve problems using an image
Drag one or more images here,
upload an image
or
open camera
Drop images here to start your search
To use Visual Search, enable the camera in this browser
All
Search
Images
Inspiration
Create
Collections
Videos
Maps
News
More
Shopping
Flights
Travel
Notebook
Top suggestions for Sample Variation Formula
Example of
Sample Variance
Variance Formula
Example
Symbol for
Sample Variance
Variance Equation
Math
Equation for a Sample Mean
Sample Variance Formula
Copy/Paste
Sample
Variance Shortcut
Sample
Variance Formukl
Sample
Variance Step by Step
Variance Symbol
On Calculator
Sample Variance Formula
with Labels
High Variance
Sample Plot
Example of Calculating
Variance
What Is Variance
Equation
Sample Variation
Sample Variance Formula
Example
Sample
Variance Equation
Equation for
Sample Variance
Symbol of
Sample Variance
Variance Analysis
Example
Variance Form
Template
Covariance Matrix
Example
Standard Deviation
Example
Variance Formula
PNG
Sample
Variance Before and After
Sample
Time Variance Template
Sample
Variance Shortcut Formula
Symbol of
Variance
Equation for Variance
in Excel
Math Variance
Equation
Variance Request
Drawing
Varience Formula
Mathematics Form 5
Sample
Variance Symbol
Direct and Inverse Variation Examples
Sample
Variance Example
Symbol for Population
Variance
Direct Variation
Examples
Symbol for Sample
Variance in Statistics
Population Variance
Sign
Econometrics
Formulas
Sample
Variance équation
Direct Variation
Equation
Explore more searches like Sample Variation Formula
Natural
Selection
Human Skin
Color
Breakdown
Sheet
Background
Design
Human
Apperance
Human
Body
Clip
Art
Horizontal
Logo
Lilac
Fairy
Type
1
Genetic
Variation
Variation
in Plants
Animal
Species
PNG
Variation and
Adaptation
Within-Species
Examples
Environmental
Quote
DNA
PPT
Organism
Biological
Parameters
Equation
Worksheet
Biology
People interested in Sample Variation Formula also searched for
Control
Chart
Science
Examples
Order
Template
Different
Types
Iris
Out
Goldbet
Levendorf
Winter
Combined
Table
2
Types
Animals
Autoplay all GIFs
Change autoplay and other image settings here
Autoplay all GIFs
Flip the switch to turn them on
Autoplay GIFs
Image size
All
Small
Medium
Large
Extra large
At least... *
Customized Width
x
Customized Height
px
Please enter a number for Width and Height
Color
All
Color only
Black & white
Type
All
Photograph
Clipart
Line drawing
Animated GIF
Transparent
Layout
All
Square
Wide
Tall
People
All
Just faces
Head & shoulders
Date
All
Past 24 hours
Past week
Past month
Past year
License
All
All Creative Commons
Public domain
Free to share and use
Free to share and use commercially
Free to modify, share, and use
Free to modify, share, and use commercially
Learn more
Clear filters
SafeSearch:
Moderate
Strict
Moderate (default)
Off
Filter
Example of
Sample Variance
Variance Formula
Example
Symbol for
Sample Variance
Variance Equation
Math
Equation for a Sample Mean
Sample Variance Formula
Copy/Paste
Sample
Variance Shortcut
Sample
Variance Formukl
Sample
Variance Step by Step
Variance Symbol
On Calculator
Sample Variance Formula
with Labels
High Variance
Sample Plot
Example of Calculating
Variance
What Is Variance
Equation
Sample Variation
Sample Variance Formula
Example
Sample
Variance Equation
Equation for
Sample Variance
Symbol of
Sample Variance
Variance Analysis
Example
Variance Form
Template
Covariance Matrix
Example
Standard Deviation
Example
Variance Formula
PNG
Sample
Variance Before and After
Sample
Time Variance Template
Sample
Variance Shortcut Formula
Symbol of
Variance
Equation for Variance
in Excel
Math Variance
Equation
Variance Request
Drawing
Varience Formula
Mathematics Form 5
Sample
Variance Symbol
Direct and Inverse Variation Examples
Sample
Variance Example
Symbol for Population
Variance
Direct Variation
Examples
Symbol for Sample
Variance in Statistics
Population Variance
Sign
Econometrics
Formulas
Sample
Variance équation
Direct Variation
Equation
1089×522
cuemath.com
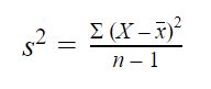
Sample Variance Formula - Learn the sample variance formula - Cuemath
700×478
chegg.com
Solved Formula for the Sample Variance and Standard | Chegg.…
700×512
chegg.com
Solved Formula for the Sample Variance and Standard | Cheg…
1024×576
numerade.com
SOLVED: Provide the formulas for sample variance and population ...
Related Products
Variation Formula Calc…
Direct Variation Formula
Inverse Variation For…
1024×768
SlideServe
PPT - Measures of Variation PowerPoint Presentation, free down…
702×393
fity.club
Variance Formula How To Calculate Variance Of Ungrouped Data | Sample
1000×470
fity.club
Variance Formula How To Calculate Variance Of Ungrouped Data | Sample
1280×720
worksheetshq.com
Measures Of Variation Calculator
4501×2663
fity.club
Variance Formula How To Calculate Variance Of Ungroup…
403×167
fity.club
Variance Formula
993×467
fity.club
Prevalence Formula
Explore more searches like
Sample
Variation
Formula
Natural Selection
Human Skin Color
Breakdown Sheet
Background Design
Human Apperance
Human Body
Clip Art
Horizontal Logo
Lilac Fairy
Type 1
Genetic Variation
Variation in Plants
1150×724
MathWorld
Sample Variance -- from Wolfram MathWorld
192×81
snellingcouttepore.blogspot.com
Measure of Variation Math Definition Examp…
788×389
fity.club
Variance Formula For Ungrouped Data
650×200
statisticslectures.com
Variance and Standard Deviation of a Sample
1024×581
fity.club
Population Variance Formula Population Variance Formula | Step By Step
1706×731
ar.inspiredpencil.com
Sample Variance Formula
1558×434
ar.inspiredpencil.com
Sample Variance Formula
1280×720
ar.inspiredpencil.com
Sample Variance Formula
496×393
ar.inspiredpencil.com
Sample Variance Formula
1024×581
ar.inspiredpencil.com
Sample Variance Formula
995×213
ar.inspiredpencil.com
Sample Variance Formula
1280×720
ar.inspiredpencil.com
Sample Variance Formula
1024×581
ar.inspiredpencil.com
Sample Variance Formula
1024×768
ar.inspiredpencil.com
Sample Variance Formula
1024×582
ar.inspiredpencil.com
Sample Variance Formula
People interested in
Sample
Variation
Formula
also searched for
Control Chart
Science Examples
Order Template
Different Types
Iris Out
Goldbet
Levendorf
Winter
Combined Table
2 Types
Animals
409×259
ar.inspiredpencil.com
Sample Variance Formula
725×175
ar.inspiredpencil.com
Sample Variance Formula
1000×470
animalia-life.club
Variance Formula Example
768×424
keltonyouthbryan.blogspot.com
Variance Formula for Ungrouped Data
1275×1650
home-tution.com
Use of Sample Variance Formul…
1275×1650
home-tution.com
Use of Sample Variance Formul…
927×402
truckerspumpkinsharjah.wordpress.com
Measures Of Variability Coefficient Of Variation Variance And Standard ...
593×457
Medium
Sample Variance. It’s also called the Unbiased estimate… | by Solomon ...
1024×576
nebigdatahub.org
NSDC Data Science Flashcards – Descriptive Statistics #3 - Solving for ...
Some results have been hidden because they may be inaccessible to you.
Show inaccessible results
See more images
Recommended for you
Sponsored
Report an inappropriate content
Please select one of the options below.
Not Relevant
Offensive
Adult
Child Sexual Abuse
Feedback